Законы динамики с учетом силы трения: решение задач по Ньютону
Динамика: Законы Ньютона. Задача на законы динамики в системе с силой трения
Научитесь применять законы Ньютона для расчета движений тел с учетом силы трения. В статье объясняется, как учитывать статическое и кинетическое трение, составлять уравнения движения и находить ускорение или силу. Приводится типовая задача с подробным решением, что поможет вам успешно освоить тему динамики, подготовиться к экзаменам по физике или справиться с домашними заданиями
На гладком столе находится брусок массой m₁=4 кг. Он прикреплён к неподвижной стенке через пружину, а на него сверху помещена коробочка массой m₂=20 г, как показано на рисунке. Затем брусок оттянули от положения, соответствующего равновесному состоянию, в правую сторону на расстояние Δl. После этого брусок отпустили, не придав ему какого-либо дополнительного ускорения. Какова должна быть величина смещения Δl, чтобы коробочка начала скользить относительно бруска? Коэффициент трения коробка о брусок μ=0,1, жёсткость пружины k=400 Н/м. Ускорение свободного падения прими равным 10 м/с².
Самое сложное в данной задаче — расставить силы. Введём ось ОХ и укажем силы, приложенные к телам. Проекции силы тяжести и реакции опоры равны нулю, так как эти силы перпендикулярны оси ОХ, их указывать не будем. Когда тело неподвижно, вектор силы трения покоя противоположен направлению возможного движения.
Брусок оттянули вправо. После того как брусок отпустили, коробочка, лежащая на бруске, будет «стараться» остаться на месте в соответствии с законом инерции Галилея. Значит, сила трения, действующая на коробочку, будет направлена к стене. А сила трения, действующая на брусок со стороны коробочки, по третьему закону Ньютона будет направлена от стены.
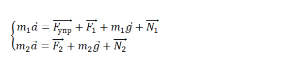
Запишем следствие из второго закона Ньютона для положения, в котором коробочка двигается с ускорением бруска, то есть ещё не скользит по бруску.
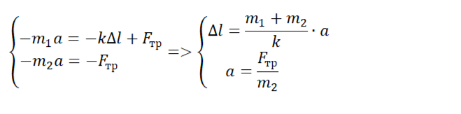
По третьему закону Ньютона силы трения F₁ и F₂ равны, тогда в проекции на ось ОХ получим:
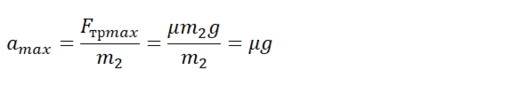
Сила трения покоя по определению должна быть меньше или равна силе трения скольжения. Поэтому для коробочки можем записать:
Найдём ускорение бруска при котором начнётся скольжение коробочки
Подставим максимальное ускорение в формулу величины смещения и решим задачу
