Расчет удлинения пружины в системе двух движущихся тел: решение задачи
Динамика: Сила упругости. Задание на расчёт удлинения пружины в системе двух движущихся тел
Научитесь определять удлинение пружины в динамической системе с двумя движущимися телами, используя закон Гука и основы динамики. В статье объясняется, как учитывать силы взаимодействия между телами, их массы и ускорения. Приводятся необходимые формулы и разбирается задача с пошаговым решением. Этот материал поможет вам глубже понять принципы работы силы упругости и успешно справиться с комплексными задачами по физике
Два бруска массами m₁=0,6 кг и m₂=1,4 кг связаны пружиной с жёсткостью k₁=100 Н/м. Систему грузов перемещают, прикладывая некоторую силу к концу пружины с жёсткостью k₂=230 Н/м, прикреплённой ко второму телу. Известно, что оба тела движутся с одинаковым ускорением. Найди, чему равно отношение удлинения второй пружины к удлинению первой. Трение не учитывать.
Введём ось ОХ, укажем силы, действующие на тела и запишем следствие из второго закона Ньютона в векторном виде для обоих тел
Так как в задаче ничего не сказано о массе пружин, будем считать их невесомыми. Тогда встречные силы упругости у каждой пружины равны
Спроецируем векторные уравнения на ось ОХ, запишем закон Гука для каждой пружины и подставим в уравнения проекций
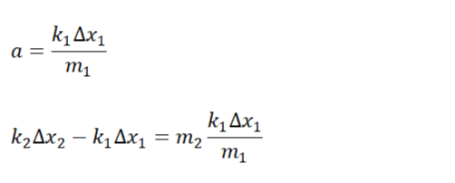
Преобразуем последние две формулы: выразим ускорение из первой и подставим во вторую
Из последней формулы выразим отношение удлинений пружин, что и будет решением задачи
