Как рассчитать время движения тела по наклонной плоскости с учетом силы трения?
Динамика: Силы трения. Задание на расчёт времени движения по наклонной плоскости
Узнайте, как определить время движения тела по наклонной плоскости, учитывая влияние силы трения. В статье объясняется, как составлять уравнения движения, учитывать угол наклона, коэффициент трения и начальные условия. Приводятся необходимые формулы и разбирается задача с подробным решением. Этот материал поможет вам успешно справиться с задачами динамики и подготовиться к экзаменам по физике
Определи, за какое время пройдёт путь 1,2 м по наклонной плоскости, составляющей угол 45° с горизонтом, первоначально покоившаяся шайба, если известно, что по такой же наклонной плоскости, но с углом 25° к горизонту, она движется равномерно.
Изобразим физическую ситуацию задачи и укажем действующие силы
Запишем векторные уравнения следствия из второго закона Ньютона для каждого случая, векторное уравнение перемещения и спроецируем на координатные оси:
Выразим силы реакции опоры и подставим в формулу связи между величиной реакции опоры и силой трения для каждого случая
Подставим получившуюся силу трения в первом случае в уравнение проекции на ось ОХ и выразим коэффициент трения
Подставим получившуюся силу трения во втором случае в уравнение проекции на ось ОХ и выразим ускорение, подставив коэффициент трения
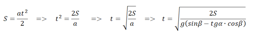
Выразим время из проекции перемещения и подставим в него формулу ускорения
Подставим числовые данные задачи и решим её
