Сочетание законов динамики и кинематики: решение физических задач
Динамика: Законы Ньютона. Задача на применение законов динамики и кинематики
Изучите, как эффективно применять законы динамики и кинематики для решения комплексных физических задач. В статье объясняется связь между силами, действующими на тело, и его движением, приводятся необходимые формулы для расчета ускорения, скорости и перемещения. Разбирается практическая задача с пошаговым решением, что поможет вам глубже понять механику и успешно подготовиться к экзаменам или урокам физики
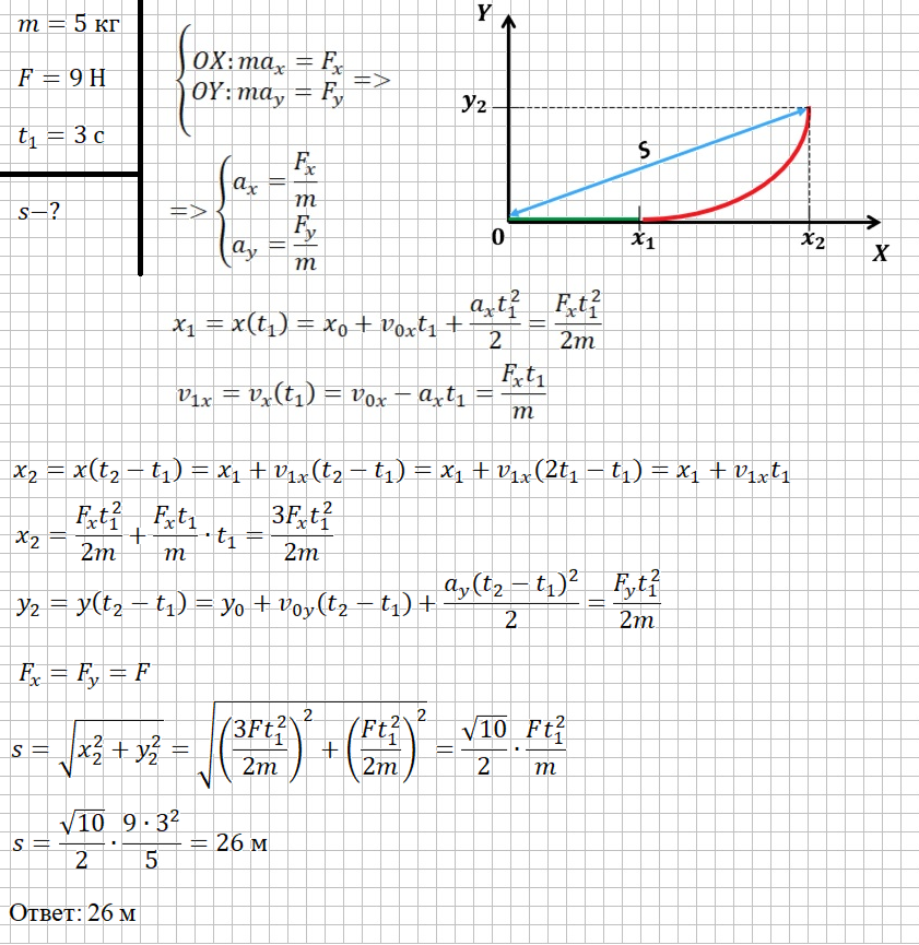
На неподвижную материальную точку массой 5 кг в момент времени t=0 c начинает действовать постоянная по модулю и направлению сила F=9 Н. Через t₁=3 с направление силы меняется: её вектор поворачивается на 90°. Рассчитай модуль перемещения материальной точки к моменту времени t₂=2t₁, если никакие другие силы на неё не действуют.
Введём оси координат OX и OY. Начальное положение точки совпадает с началом координат. До момента времени t₁ изменяется только координата x материальной точки, поскольку сила действует в направлении оси OX. С момента времени t₁ сила меняет своё направление, и материальная точка приобретает ускорение вдоль оси OY. Таким образом, с момента t₁ изменяются и x, и y.
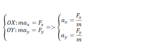
Запишем следствие из второго закона Ньютона в проекциях на оси и выразим ускорение
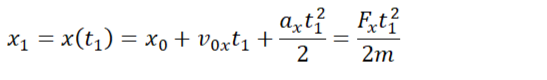
Запишем закон равнопеременного движения для х₁
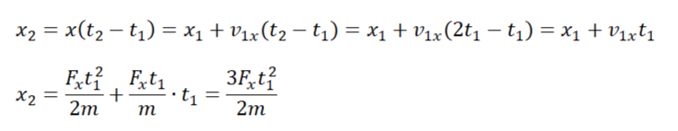
С момента времени t₁ вдоль оси OX на точку не действуют никакие силы, поэтому проекция скорости при t большем t₁ будет такая же как для t₁
С данной скоростью точка будет двигаться вдоль OX ещё (t₂−t₁) времени. Её конечная координата по оси OX:
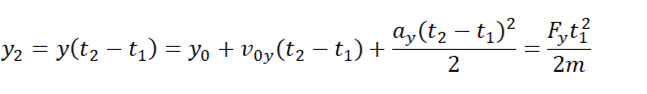
Запишем и преобразуем закон равнопеременного движения для координаты по оси OY после начала действия силы вдоль этой оси
В связи с тем, что менялось только направление силы, Fₓ=Fᵧ=F. Тогда остаётся подставить координаты в формулу перемещения и решить задачу
Оформим решение и ответ
