Как рассчитать ускорение тела с учетом силы упругости?
Динамика: Сила упругости. Задание на расчёт ускорения тела с учётом силы упругости
Узнайте, как определить ускорение тела, движущегося под действием силы упругости. В статье объясняется, как применять второй закон Ньютона совместно с законом Гука, приводятся необходимые формулы для расчета ускорения и разбирается задача с подробным решением. Этот материал станет отличным помощником для изучения динамики, подготовки к ЕГЭ или выполнения сложных заданий по физике
Для того чтобы определить ускорение лифта, школьник взял пружину и гирьку неизвестной массы, который он подвесил к пружине. Динамометр он прикрепил к потолку лифта. Пока лифт покоился, растяжение пружины было равно 9 см, а когда он начал двигаться вниз, удлинение пружины стало 7 см. Вычисли, с каким ускорением двигался лифт.
Смоделируем ситуацию из задачи, изобразив её на рисунке и указав действующие силы.
Так как в задаче ничего не сказано о массе пружины, будем считать её невесомой. Введём ось OY направленную вертикально вверх, расставим силы, запишем следствие из второго закона Ньютона в векторном виде и спроецируем на ось
Запишем закон Гука для каждой из пружин и подставим в уравнения проекций
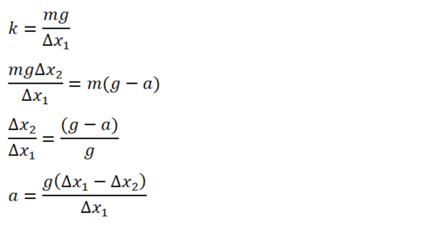
Выразим коэффициент упругости из первой формулы и подставим во вторую, а затем выразим ускорение
Теперь можно подставить числовые данные и решить задачу. Ускорение свободного падения считаем равным 10
Для решения этой задачи масса груза не имеет значения.
