Как рассчитать значение точечного заряда в электростатическом поле?
Электродинамика. Электростатика: Электростатическое поле. Задание на расчёт значения точечного заряда
Научитесь определять величину точечного заряда, используя законы электростатики и формулы для напряженности поля или силы взаимодействия. В статье объясняется, как связана величина заряда с другими параметрами системы, такими как расстояние между зарядами и напряженность поля. Приводятся необходимые формулы и разбирается задача с подробным решением. Этот материал поможет вам успешно освоить основы электростатики и справиться с физическими задачами
Одноимённые заряды (q>0, q=12 нКл) находятся в вершинах треугольника с одинаковыми углами. Рассчитай знак и значение заряда в точке пересечения его высот, сила взаимодействия которого уравновешивает силы, действующие между одноимёнными одинаковыми зарядами в вершинах треугольника.
В данной задаче самое сложное — понять, что нужно найти) Изобразим физическую ситуацию задачи
По условию, заряды в вершинах треугольника положительные, значит, заряд в точке пересечения высот (4) отрицательный. Согласно следствию из второго закона Ньютона в ИСО, для выполнения условия равновесия заряда (1) необходимо, чтобы векторная сумма сил F₁₂, F₁₃ и F₁₄ равнялась нулю. Чтобы система зарядов (1-4) находилась в равновесии, необходимо равенство модулей сил F₁₄ и F₀.
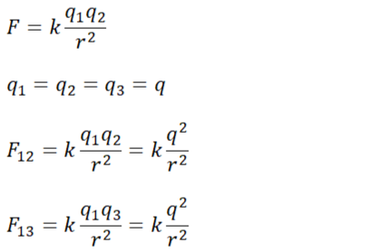
Запишем закон Кулона и формулы для сил F₁₂ и F₁₃, учитывая равенство зарядов 1, 2 и 3.
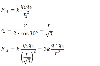
Запишем закон Кулона для F₁₄, подставим в формулу расстояние r₁, которое найдём из треугольника АОВ
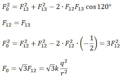
Найдём F₀ из треугольника COD по теореме косинусов, а затем упростим, учитывая равенство сил F₁₂ и F₁₃
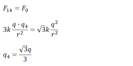
Как говорилось ранее, чтобы система зарядов (1-4) находилась в равновесии, необходимо равенство модулей сил F₁₄ и F₀. Приравняем их формулы и выразим искомый заряд
Остается подставить значение q и решить задачу, так как используется только одна единица измерения, переводить в СИ не имеет смысла
