Как рассчитать вес тела на наклонной плоскости с учетом силы тяготения?
Динамика: Сила тяготения. Задание на расчёт веса тела на наклонной плоскости
Научитесь определять вес тела, находящегося на наклонной плоскости, учитывая влияние силы тяготения и угла наклона. В статье объясняется, как разложить силу тяжести на составляющие по осям, приводятся необходимые формулы и разбирается задача с подробным решением. Этот материал станет отличным помощником для изучения динамики, подготовки к экзаменам по физике или выполнения домашних заданий
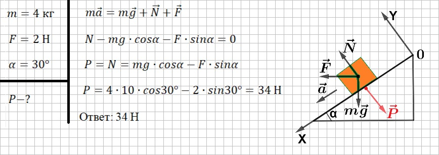
Рассчитай силу давления, которую оказывает груз (4 кг) на гладкую наклонную поверхность (угол наклона к горизонту — 30°) при действии на него горизонтальной силы 2 Н. (g=10)
Изобразим физическую модель задачи и расставим силы
Запишем следствие из второго закона Ньютона в векторном виде и спроецируем на ось OY. Согласно третьему закону Ньютона P=N, следовательно, выразим силу давления груза.
