Как рассчитать напряженность электростатического поля? (2)
Электродинамика. Электростатика: Электростатическое поле. Задание на расчёт напряжённости электростатического поля (2)
Научитесь определять напряженность электростатического поля, используя законы Кулонаа и основные принципы электростатики. В статье объясняется, как связана напряженность с зарядом, расстоянием и напряженностью среды. Приводятся необходимые формулы для расчета напряженности в различных конфигурациях полей, а также разбирается задача с подробным решением. Этот материал поможет вам успешно освоить основы электростатики и справиться с физическими задачами
Задача
Определи величину напряжённости электростатического поля в точке A, учитывая следующие физические характеристики: расстояние между зарядами r=14 см, модуль заряда q=20 нКл.
Изобразим физическую ситуацию задачи, точка А находится на пересечении высот
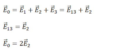
Согласно принципу суперпозиции электростатических полей, искомый вектор Е₀ представляет собой сумму векторов Е₁, Е₂ и Е₃. По правилу параллелограмма сумма векторов Е₁ и Е₃ — вектор Е₁₃, который равен вектору Е₂. Значит, искомый вектор равен двум векторам Е₂.
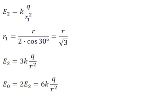
Запишем формулу модуля напряжённости поля точечного заряда и преобразуем, выразив r₁ через r
Подставим известные значения и решим задачу
