Как рассчитать напряженность электростатического поля?
Электродинамика. Электростатика: Электростатическое поле. Задание на расчёт напряжённости электростатического поля
Научитесь определять напряженность электростатического поля, используя законы Кулона и основные принципы электростатики. В статье объясняется, как связана напряженность с зарядом, расстоянием и напряженностью среды (). Приводятся необходимые формулы для расчета напряженности в различных конфигурациях полей, а также разбирается задача с подробным решением. Этот материал поможет вам успешно освоить основы электростатики и справиться с физическими задачами
Определи модуль напряжённости электростатического поля в середине между одноимёнными зарядами (q₁>0, q₂>0), учитывая физические параметры данной системы: q₁=10 нКл, q₂=5 нКл, расстояние между зарядами l=70 см.
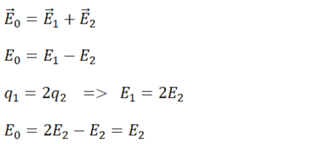
Изобразим векторы напряжённости электростатического поля и спроецируем на ось ОХ принцип суперпозиции электростатических полей
Обратите внимание, что первый заряд вдвое больше второго, запишем это и подставим в формулу проекции
Запишем формулу модуля напряжённости поля второго точечного заряда. По условию задачи мы ищем модуль напряженности в середине, значит, расстояние от заряда до исследуемой точки равно половине расстояния между зарядами. Затем, подставив числа, найдём ответ
