Применение законов динамики в системах с пружинами: решение задач
Динамика: Законы Ньютона. Задача на использование законов динамики в системе с пружинами
Узнайте, как использовать законы Ньютона для анализа движений систем, содержащих пружины. В статье объясняется, как учитывать силу упругости по закону Гука, составлять уравнения движения и находить ускорение или перемещение тел. Приводится практическая задача с подробным решением, что поможет вам глубже понять тему динамики и успешно справиться с заданиями на уроках физики или при подготовке к ЕГЭ
Два груза m₁=11 кг и m₂=3 кг скреплены невесомой пружиной неизвестной жёсткости. Известно, что в ситуации, изображённой на рисунке 1, длина пружины l₁=15 см, а в ситуации на рисунке 2 — l₂= 8см. Найди длину недеформированной пружины.
Пружина невесома, значит её деформация происходит только под действием веса груза, а не её собственного веса.
Введём ось OY и укажем действующие на грузы силы. Так как пружина в системе №1 деформируется под действием груза m1, а деформация пружины в системе №2 происходит под действием груза m2, опустим силы тяжести и реакции подвеса действующие на груз m2 в системе №1, а также силы тяжести и реакции опоры действующие на груз m1 в системе №2.
Запишем следствие из второго закона Ньютона в векторном виде, а затем в проекции на ось ОУ
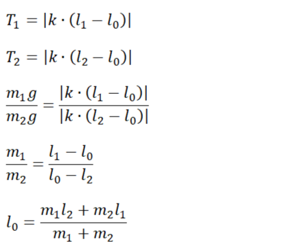
Вспоминаем закон Гука и третий закон Ньютона, подставляем в последние уравнения и делим первое уравнение на второе. Затем выразим длину недеформированной пружины
Записываем решение и ответ
