Как определить жесткость пружины с учетом электростатического взаимодействия?
Электродинамика. Электростатика: Электростатическое поле. Задание на определение жёсткости пружины
Узнайте, как рассчитать жесткость пружины, если на нее влияют силы электростатического поля. В статье объясняется, как учитывать воздействие электрических сил на деформацию пружины и применять закон Гука совместно с законами электростатики. Приводятся необходимые формулы для расчета жесткости и разбирается задача с подробным решением. Этот материал поможет вам успешно освоить взаимосвязь между механическими и электростатическими явлениями
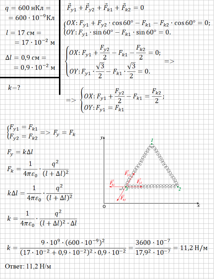
Тела с одинаковыми геометрическими параметрами соединены между собой в замкнутую систему невесомыми пружинами длиной 17 см и расположены так, что образуют правильный треугольник. Найди жёсткость пружины, если при сообщении каждому телу заряда 600 нКл пружины растянулись на 0,9 см.
Физическую ситуацию достаточно изобразить для одного тела (заряд 3), т. к. условие равновесия является одинаковым и для других тел. Запишем следствие из второго закона Ньютона в ИСО для выполнения условия равновесия заряда 3 и спроецируем на оси
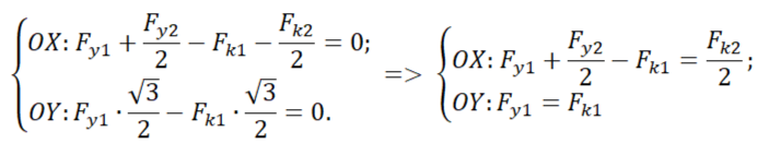
Уравнения проекций преобразуем
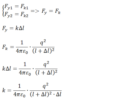
Из равенства сил Fᵧ₁ и Fₖ₁ в уравнении проекции на ось OY, подставив в уравнение проекции на ось OХ, получим равенство сил Fᵧ₂ и Fₖ₂. Делаем вывод, что сила Кулона равна силе упругости, запишем формулы для каждой силы и приравняем их, а затем выразим коэффициент жесткости
Подставляем числа и решаем
