Расчет силы в системе тел с учетом трения: решение задач
Динамика: Силы трения. Задание на расчёт силы в системе тел со связью в условиях трения
Изучите, как рассчитать силу в динамической системе взаимосвязанных тел, учитывая влияние силы трения. В статье объясняется, как составлять уравнения движения для каждой части системы, учитывать коэффициент трения и нормальную реакцию, а также приводятся необходимые формулы и разбирается задача с подробным решением. Этот материал поможет вам успешно освоить тему силы трения и справиться с комплексными задачами по физике
Бруски (m₁=5M и m₂=3M) соединены нитью, как показано на рисунке. Определи величину горизонтально направленной силы, которую нужно приложить к бруску с массой m₁, чтобы он двигался влево с ускорением a=3g. Блок считать идеальным, коэффициент трения между грузом m₁ и столом μ=0,5.
Проиллюстрируем физическую модель задачи
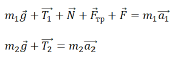
Запишем векторные уравнения следствия из второго закона Ньютона для каждого бруска
Так как нить невесома и нерастяжима, блок идеальный, то T₁=T₂=T, a₁=a₂=a. Спроецируем уравнения на оси координат, учитывая это. Сразу преобразуем формулы
Запишем связь между величиной реакции опоры и силой трения скольжения, преобразуем подставив вместо силы реакции опоры произведение массы первого бруска на ускорение свободного падения (из уравнения проекции). Затем подставим получившиеся формулы силы натяжения нити и силы трения в формулу искомой силы
Подставим данные задачи и решим её
