Применение принципа суперпозиции в динамике: решение задач по законам Ньютона
Динамика: Законы Ньютона. Задача на применение принципа суперпозиции
Научитесь использовать принцип суперпозиции для решения динамических задач, основанных на законах Ньютона. В статье объясняется, как складывать силы, действующие на тело, приводятся необходимые формулы и разбирается типовая задача с подробным решением. Этот материал поможет вам глубже понять механику и успешно справиться с заданиями на уроках физики или при подготовке к ЕГЭ
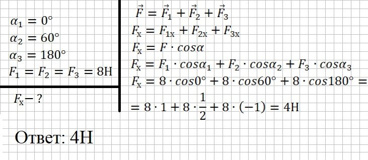
В данной задаче необходимо определить значение проекции равнодействующей всех сил, приложенных к бруску , на ось OX, если известны углы между вектором силы и осью ОХ.
Все единицы измерения соответствуют международной системе единиц, значит сразу запишем условие.
Порядок действий кроется в названии задачи: необходимо вспомнить принцип суперпозиции — результирующая сила есть сумма всех действующих сил. Однако, стоит помнить, что сила — векторная величина. Значит мы можем поступить двумя способами:
- графически найти сумму векторов и полученный вектор спроецировать на ось х;
- найти проекцию каждой действующей силы и затем сложить их.
Для первого способа картинка из задания не подойдет, т.к. схематически показывает действие сил, но не соблюдает величины углов. Какой бы из способов вы не выбрали, нужно понимать, как находить проекцию.
Что-то похожее было здесь, где была известна проекция на ось х и угол между ней и вектором. В этой задаче нам тоже понадобится косинус.
Записываем решение и ответ.
