Как рассчитать косинус угла между векторами в магнитном поле?
Магнитное поле. Задание на расчёт косинуса угла
Научитесь определять косинус угла между направлением движения заряженной частицы и вектором магнитной индукции, используя основы магнитного поля и силы Лоренца. В статье объясняется, как угол влияет на величину и направление силы, действующей на частицу. Мы разберем задачу с подробным решением, чтобы показать, как применять математические методы для расчета косинуса угла в физических процессах. Этот материал поможет вам глубже понять взаимодействие магнитного поля с движущимися зарядами и успешно решать связанные задачи
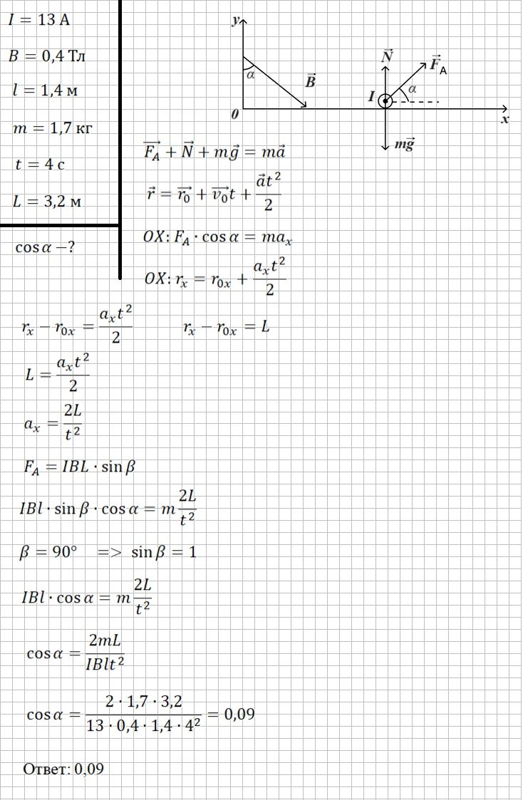
Проводящий цилиндрический стержень (I=13 А) длиной l=1,4 м и массой m=1,7 кг свободно скользит по горизонтальным рельсам без силы трения. Рельсы с проводником поместили в магнитное поле (B=0,4 Тл) таким образом, что вектор индукции образует углы α к оси OY и к проводнику (см. рис.). За время t=4 с проводник проскользил расстояние L=3,2 м. Вычисли cosα
Изобразим систему сил, т.к. вектор индукции магнитного поля и сила Ампера перпендикулярны к плоскости OXY, то угол между вектором магнитной индукции и осью OY равен углу между силой Ампера и осью OX
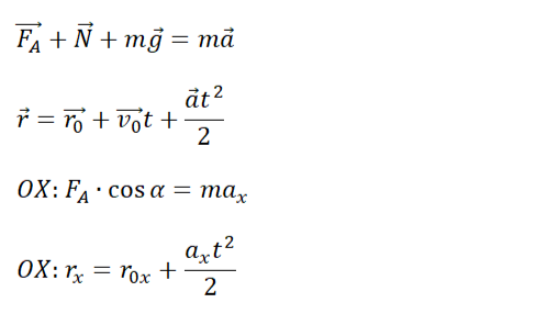
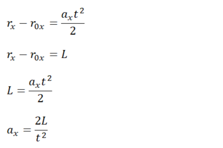
Запишем векторное следствие из второго закона Ньютона для проводника и зависимость радиус-вектора от времени, а затем спроецируем обе формулы на ось ОХ
Преобразуем последнее уравнение и выразим проекцию ускорения
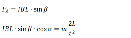
Запишем формулу силы Ампера и подставим её и формулу проекции ускорения в проекцию следствия из второго закона Ньютона
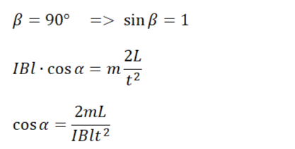
Угол β — угол между направлением вектора магнитной индукции и направлением тока, он равен 90°, следовательно синус равен 1. Перепишем формулу с учетом этого и выразим косинус
Остается подставить числовые данные и решить задачу
