Как рассчитать толщину стеклянной пластины: пошаговое решение задачи по геометрической оптике
Оптика: Законы геометрической оптики. Задание на расчёт толщины стеклянной пластины
В статье рассматривается задача на определение толщины стеклянной пластины с использованием законов геометрической оптики, таких как закон преломления света (закон Снеллиуса). Мы объясним, как изменяется направление светового луча при прохождении через границу раздела двух сред, и покажем, как использовать формулы для расчёта толщины пластины. Пошаговое решение с формулами и комментариями поможет вам разобраться в этой важной теме. Материал будет полезен школьникам, студентам и всем, кто изучает физику или готовится к экзаменам.
С помощью стеклянного параллелепипеда толщиной h с показателем преломления n=1,6 формируется мнимое изображение источника S. Найди, какова толщина параллелепипеда, если известно расстояние Δl=3 см между источником S и его изображением S′.
Примечание: рассмотреть лучи, падающие на пластинку под малыми углами.
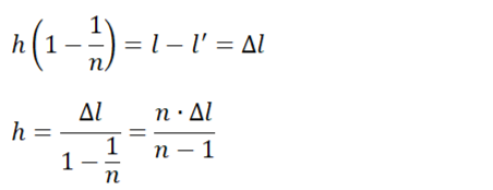
Введём дополнительные обозначения и запишем соотношения между расстояниями и углами
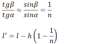
Выразим из данных формул l’
В примечании к задаче сказано обратить внимание на малые углы. Когда углы малы отношение тангенсов примерно равно отношению синусов, а именно синусы связаны с показателем преломления
Из последней формулы выразим искомую толщину параллелепипеда
Остается оформить решение и найти ответ
Самое сложное в этой задаче — правильно истолковать примечание)
