Как рассчитать массу тела по закону сохранения механической энергии?
Законы сохранения в механике. Закон сохранения энергии в механике. Задание на расчёт массы тела
Узнайте, как определить массу тела, используя закон сохранения механической энергии. В статье объясняется связь между кинетической энергией (), потенциальной энергией () и массой тела. Приводятся необходимые формулы для расчета массы в различных задачах, а также разбирается пример с подробным решением. Этот материал поможет вам глубже понять принципы сохранения энергии и успешно справиться с физическими задачами
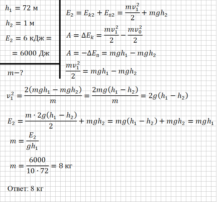
Задача
Рассчитай массу падающего с высоты 72 м объекта, если на высоте 1 м его полная механическая энергия равна 6 кДж и сила трения при движении объекта о воздух является бесконечно малой величиной.
Ранее в задаче на расчёт полной механической энергии мы уже выяснили, что полная механическая энергия при свободном падении зависит только от первоначальной высоты и массы, значит из полученной формулы полной энергии выразим массу и решим задачу
