Как рассчитать высоту падения тела по закону сохранения механической энергии?
Законы сохранения в механике: Закон сохранения энергии в механике. Задание на расчёт высоты падения тела
Узнайте, как определить высоту, с которой упало тело, используя закон сохранения механической энергии. В статье объясняется связь между потенциальной и кинетической энергией (), а также приводятся необходимые формулы для расчета высоты. Разбирается задача с подробным решением, что поможет вам успешно освоить основы закона сохранения энергии и справиться с заданиями по физике на уроках или при подготовке к экзаменам
Задача
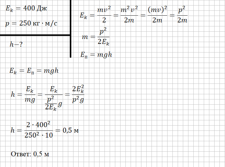
Определи высоту, с которой при проведении лабораторного эксперимента падает тело, если в момент соударения с Землёй его импульс равен 250 кг · м/с, а кинетическая энергия — 400 Дж
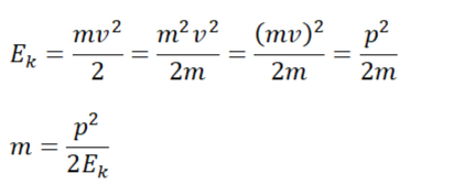
Согласно закону сохранения механической энергии, кинетическая энергия в момент соударения с Землёй будет равна потенциальной энергии тела в поле тяжести Земли. Запишем формулу кинетической энергии и выразим из неё массу
Запишем формулу потенциальной энергии, приравняем к кинетической по закону сохранения и выразим высоту
Подставим формулу массы, преобразуем и решим задачу
