Как рассчитать высоту подъема системы тел после неупругого удара по закону сохранения энергии?
Законы сохранения в механике: Закон сохранения энергии в механике. Расчёт высоты подъёма системы тел (неупругий удар)
Научитесь определять высоту, на которую поднимается система тел после неупругого удара, используя закон сохранения механической энергии. В статье объясняется, как преобразуется кинетическая энергия движения в потенциальную энергию подъема (), а также приводятся необходимые формулы для расчета. Разбирается задача с пошаговым решением, что поможет вам успешно освоить тему неупругих столкновений и справиться с физическими задачами на уроках или при подготовке к экзаменам
Определи высоту подъёма системы двух подвешенных в одной точке на одинаковых нитях (l=1,3 м) объектов (m₁=2 кг, m₂=8 кг), учитывая следующее описание изменений в данной системе: первоначально объекты соприкасались, далее второй объект отклоняют на 30° и отпускают, в результате чего происходит неупругое взаимодействие с первым объектом.
Изобразим физическую ситуацию задачи и опишем механические состояния
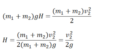
Для механических состояний 3 и 4 выполняется закон сохранения механической энергии , т. к. на систему объектов действуют только потенциальные силы (силы тяжести, силы натяжения нити), запишем его и выразим Н
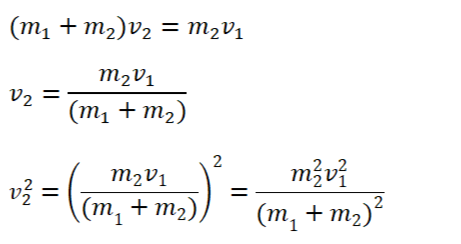
Так как время соударения — бесконечно малая величина, то для системы объектов выполняется закон сохранения импульса, запишем его, выразим скорость системы объектов и возведём в квадрат
В механических состояниях 1 и 2 на систему объектов также действуют только потенциальные силы, а значит выполняется закон сохранения механической энергии. Запишем его и выразим квадрат скорости второго объекта, затем, зная длину нити, выразим h и подставим в формулу
Подставляем получившуюся формулу в формулу квадрата скорости системы объектов, а её — в формулу искомой высоты подъема
Так как все числовые данные у нас есть, подставим их в формулу и решим задачу
Обратите внимание, в данной задаче отклоняли второй объект, если отклоняют первый — в конечной формуле в числителе будет масса первого в квадрате.
