Как рассчитать полную механическую энергию тела по закону сохранения энергии?
Законы сохранения в механике: Закон сохранения энергии в механике. Задание на расчёт полной механической энергии
Научитесь определять полную механическую энергию системы, используя закон сохранения энергии. В статье объясняется, как складываются кинетическая и потенциальная энергии (), а также приводятся необходимые формулы для расчета в различных ситуациях. Разбирается задача с пошаговым решением, что поможет вам глубже понять принципы сохранения энергии и успешно справиться с физическими задачами на уроках или при подготовке к экзаменам
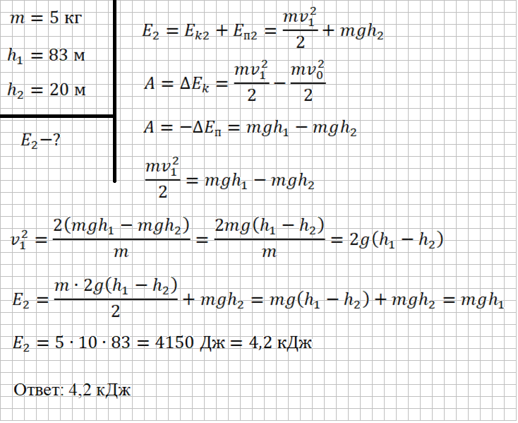
Рассчитай полную механическую энергию падающего с высоты 83 м тела (5 кг) на высоте 20 м от поверхности Земли, пренебрегая силой трения при его движении о воздух.
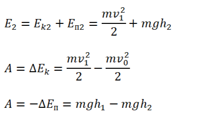
В данной задаче рассматривается два положения тела. Энергию необходимо рассчитать для положения 2 (на высоте 20 м). Начнем с того, что по закону сохранения энергии, полная механическая энергия тела будет складываться из его кинетической и потенциальной энергии в этой точке. С другой стороны, механическая работа может быть найдена как изменение энергии, чем и воспользуемся
Кинетическая энергия в положении 1 равна нулю, т.к. скорость в начальной точке отсутствует. Приравняем формулы работы, учитывая это и выразим квадрат скорости в положении 2
Остается подставить квадрат скорости в формулу полной энергии и подставить числа
Таким образом, полная механическая энергия зависит только от начальной высоты и массы.
