Как рассчитать силу торможения по закону сохранения механической энергии?
Законы сохранения в механике: Закон сохранения энергии в механике. Задание на расчёт силы торможения
Научитесь определять силу торможения, используя закон сохранения механической энергии и учитывая работу силы трения. В статье объясняется, как связать потерю кинетической энергии с работой тормозящей силы (), а также приводятся необходимые формулы для расчета. Разбирается задача с пошаговым решением, что поможет вам глубже понять принципы работы закона сохранения энергии и успешно справиться с физическими задачами
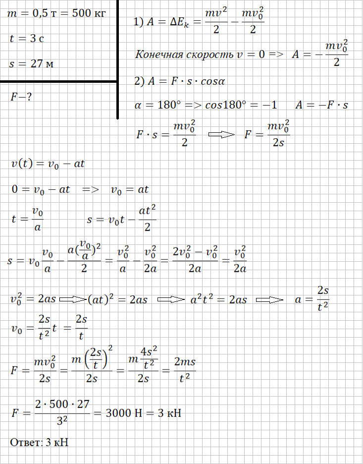
Рассчитай действующую на автотранспорт массой 0,5 т силу торможения, который за 3 c оставляет до полной остановки тормозной след длиной 27 м.
Сначала вспомним о механической работе. С одной стороны — это изменение кинетической энергии, с другой стороны — сила на перемещение. Запишем обе формулы и преобразуем в соответствие с условиями задачи.
Приравняем формулы и выразим силу.
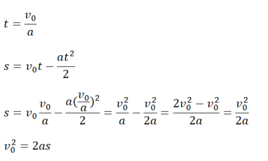
Запишем формулу скорости при равнозамедленном движении и выразим начальную скорость, учитывая, что конечная равна нулю.
Выразим время, преобразуем формулу перемещения, чтобы выразить квадрат начальной скорости.
Вместо начальной скорости подставим получившееся ранее выражение, чтобы получить ускорение
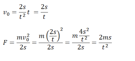
Окончательно преобразовываем формулу начальной скорости и подставляем её в формулу силы
Теперь можно подставить числовые данные из задачи и решить её
Довольно громоздкое решение, но в результате компактная формула.
