Как рассчитать разницу в дальности полёта осколков снаряда по закону сохранения импульса?
Законы сохранения в механике: Импульс. Задание на расчёт разницы в дальности полёта осколков снаряда
Узнайте, как определить разницу в дальности полёта осколков снаряда после его взрыва, используя закон сохранения импульса. В статье объясняется, как распределение массы и скорости осколков влияет на их траектории, а также приводятся необходимые формулы для расчета. Разбирается задача с пошаговым решением, что поможет вам глубже понять динамику движения тел после разделения и успешно справиться с физическими задачами
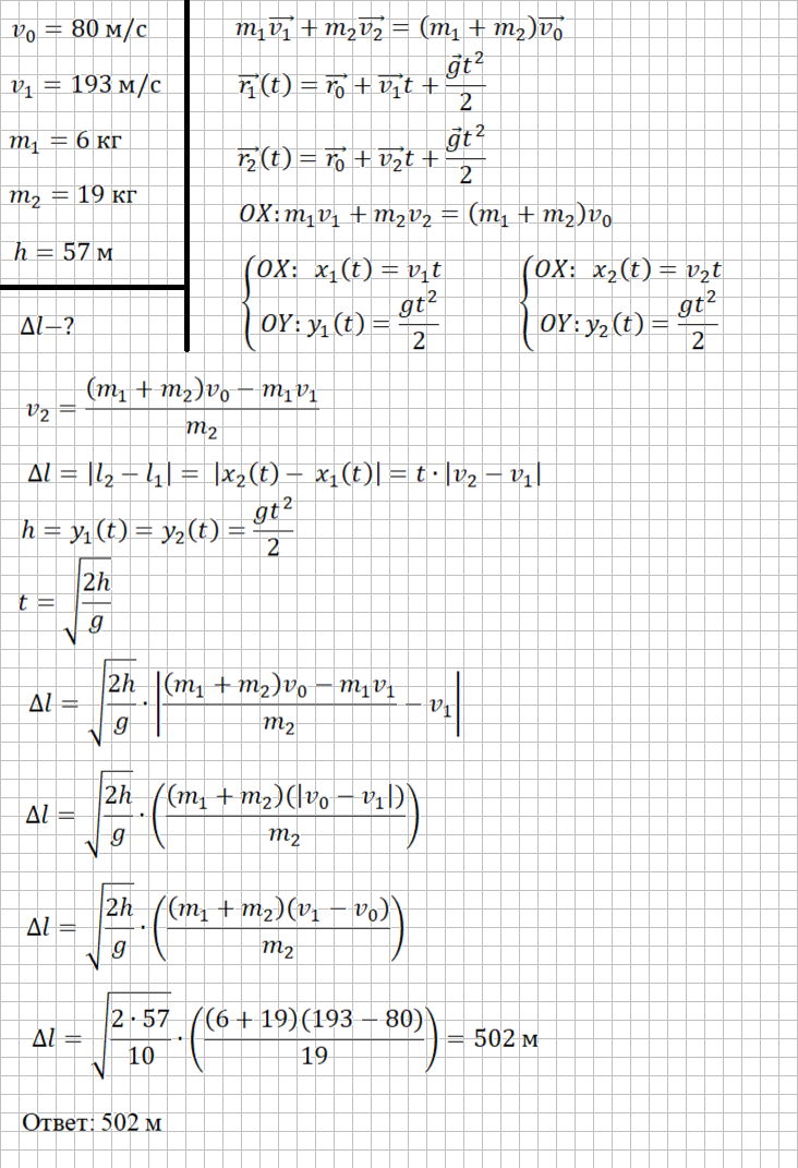
Рассчитай модуль разности дальностей полёта двух осколков (m₁=6 кг, m₂=19 кг) после разрыва произведённого под углом к горизонту снаряда, учитывая, что он разделился на максимальной высоте своей траектории (57 м), его скорость перед взрывом составляла 80 м/с, а скорость осколка 1 — 193 м/с, направления указанных скоростей совпадают.
Проиллюстрируем физическую ситуацию задачи
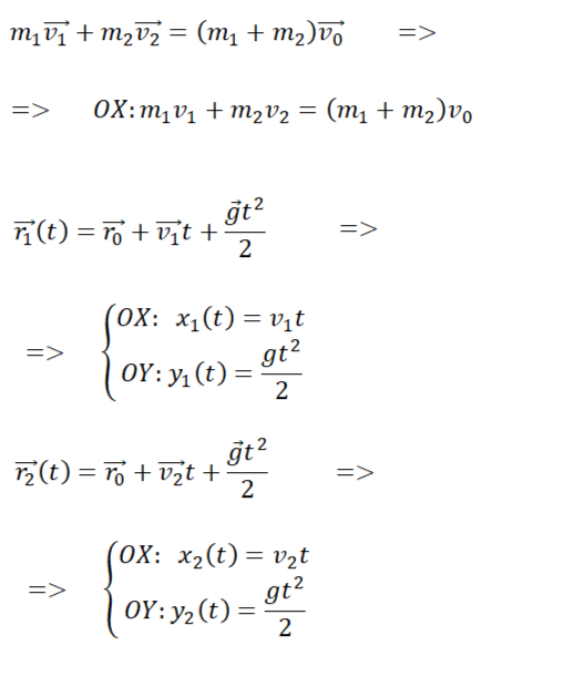
Снаряд и осколки представляем материальными точками, движущимися в инерциальной системе отсчёта. Так как на снаряд и осколки действует сила тяжести, во много раз меньшая внутренних сил, разрывающих снаряд, то можно применить закон сохранения импульса. Запишем его в векторном виде, а также векторные уравнения равнопеременного движения для каждого осколка, затем спроецируем на оси
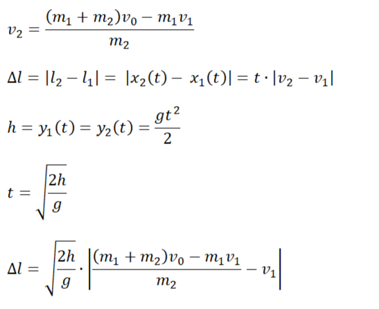
Выразим из скалярного закона сохранения импульса неизвестную нам скорость второго осколка. Координаты х₁ и х₂ в момент времени приземления — это дальности полета осколков, разность между ними — искомая разница дальности полёта. Координаты у₁ и у₂ в момент времени приземления очевидно равны и представляют собой максимальную высоту траектории, значит, можно выразить время приземления
Модуль появился, так как заранее неизвестно, скорость какого осколка выше, и, соответственно, какой дальше пролетит. Далее, при упрощении формулы, становится очевидно, что для того, чтобы избавится от модуля, необходимо поменять местами начальную скорость и скорость первого осколка. Подставим числовые данные и решим задачу
