Как рассчитать кинетическую энергию заряда в электростатическом поле?
Электродинамика. Электростатика: Работа сил электростатического поля. Разность потенциалов. Задание на расчёт кинетической энергии заряда
Научитесь определять кинетическую энергию заряда, движущегося под действием сил электростатического поля. В статье объясняется, как работа поля преобразуется в кинетическую энергию заряда и как учитывать разность потенциалов между начальной и конечной точками движения. Мы разберем практическую задачу с пошаговым решением, чтобы продемонстрировать применение этих принципов. Этот материал поможет вам глубже понять связь между работой поля и энергией заряда, а также успешно решать задачи по электростатике
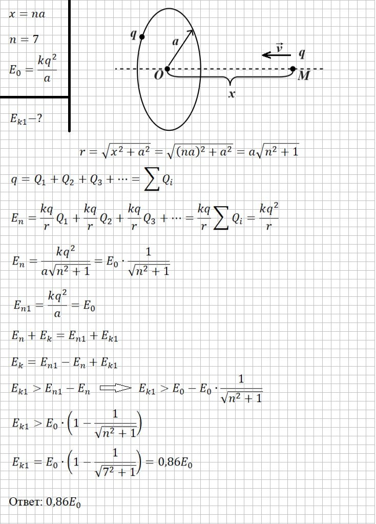
Рассчитай, какая кинетическая энергия должна быть у заряженной частицы, чтобы она могла пролететь через равномерно заряженный обруч радиуса a вдоль его оси. Частица изначально находится на его центральной оси на расстоянии x=7a от его центра. Заряд частицы равен заряду обруча q. Известно, что две частицы зарядом q каждая, находящиеся на расстоянии a друг от друга, обладают потенциальной энергией взаимодействия E₀=kq²/a. Величину E₀ считать известной. (Ответ округли до сотых и представь в единицах E₀.)
Расстояние между точкой на кольце и частицей в момент её вылета из центра кольца равно а. Найдём расстояние между точкой на кольце и частицей в начальный момент времени
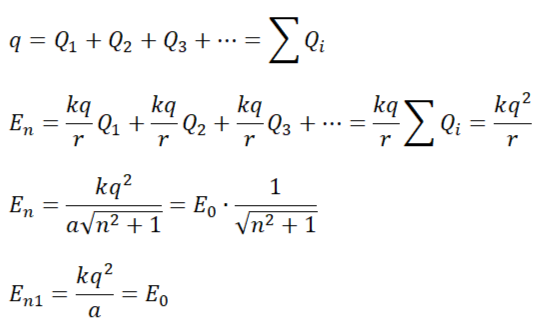
У частицы с зарядом q, находящейся на оси обруча радиусом a заряда q на расстоянии x от его центра, в начальный момент времени потенциальная энергия равна Eₙ, а кинетическая — равна Eₖ. В момент, когда частица находится в центре обруча, потенциальная энергия равна Eₙ₁, а кинетическая — равна Eₖ₁. Запишем формулу потенциальной энергии взаимодействия между частицей и суммарным зарядом на кольце и рассчитаем её для каждого случая
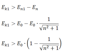
Найдём кинетическую энергию частицы в начальный момент из закона сохранения энергии
Если Eₖ₁>0, то частица пролетает дальше, в противном случае у неё не будет достаточно кинетической энергии, чтобы продолжить движение. Кинетическая энергия в начальный момент очевидно больше нуля, значит, исходя из равенства выше составим и преобразуем следующее неравенство:
Минимальная кинетическая энергия для пролёта частицы через обруч будет при равенстве величин
