Как рассчитать импульс тела через закон сохранения энергии?
Законы сохранения в механике: Закон сохранения энергии в механике. Задание на расчёт импульса тела
Узнайте, как определить импульс тела, используя закон сохранения механической энергии. В статье объясняется связь между кинетической энергией, потенциальной энергией и импульсом (). Приводятся необходимые формулы для расчета импульса на основе данных о скорости и массе тела. Разбирается задача с подробным решением, что поможет вам успешно освоить законы сохранения в механике и справиться с заданиями по физике
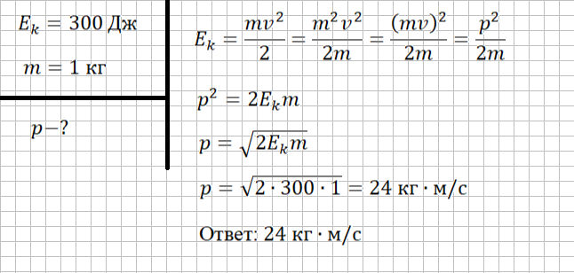
Задача
Найди импульс падающего с некоторой высоты объекта (1 кг), если его кинетическая энергия в момент соударения с поверхностью равна 300 Дж.
Задачка простая, буквально в два действия. Сначала преобразовываем формулу кинетической энергии, показав её взаимосвязь с импульсом, затем выражаем импульс. Сразу перейдем к решению
