Как рассчитать скорость осколка снаряда по закону сохранения импульса?
Законы сохранения в механике: Импульс. Задание на расчёт скорости осколка снаряда
Научитесь определять скорость осколков снаряда после его взрыва, используя закон сохранения импульса. В статье объясняется, как учитывать массы и направления движения осколков, а также приводятся необходимые формулы для расчета их скоростей. Разбирается задача с подробным решением, что поможет вам успешно освоить принципы механики разделения тел и справиться с задачами на экзаменах по физике
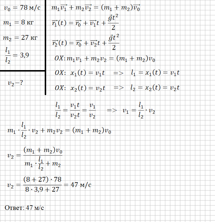
После разрыва на максимальной высоте своей траектории произведённого под углом к горизонту снаряда образуются два осколка (m₁=8 кг, m₂=27 кг), причём отношение дальности полёта осколка 1 к дальности полёта осколка 2 равно 3,9. Определи значение скорости осколка 2, если направление скорости осколка 1 совпадает с направлением скорости снаряда перед взрывом (78 м/с).
Проиллюстрируем физическую ситуацию задачи
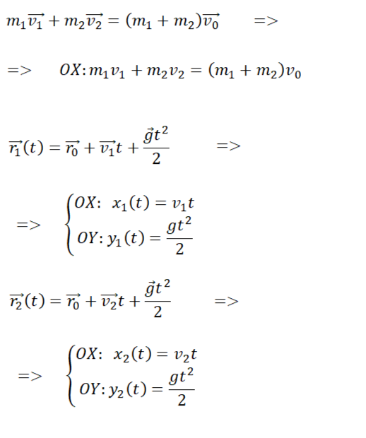
Снаряд и осколки представляем материальными точками, движущимися в инерциальной системе отсчёта. Так как на снаряд и осколки действует сила тяжести, во много раз меньшая внутренних сил, разрывающих снаряд, то можно применить закон сохранения импульса. Запишем его в векторном виде, а также векторные уравнения равнопеременного движения для каждого осколка, затем спроецируем на оси
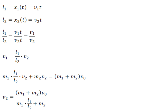
Координаты х₁ и х₂ в момент времени приземления — это дальности полета осколков, значит отношение дальностей полёта равно отношению скоростей. Выразим таким образом v₁, а затем из скалярного закона сохранения импульса выразим неизвестную нам скорость второго осколка.
Подставим числовые данные и решим задачу
