Как рассчитать средний диаметр молекулы газа по статистическим закономерностям МКТ?
Основы молекулярно-кинетической теории: Статистические закономерности МКТ. Задание на расчёт среднего диаметра молекулы газа
Узнайте, как определить средний диаметр молекулы газа с помощью статистических закономерностей молекулярно-кинетической теории. В статье объясняются ключевые принципы, связанные с размерами молекул и их взаимодействием, приводятся необходимые формулы (включая уравнения для плотности и числа молекул) и разбирается задача с подробным решением. Этот материал станет отличным помощником для изучения МКТ, подготовки к ЕГЭ и выполнения физических расчетов
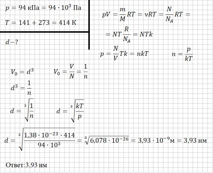
Задача
Рассчитай средний диаметр молекулы газа в закрытом герметичном резервуаре, учитывая его физические параметры: давление — 94 кПа, температура — 141 °C.
Преобразуем уравнение Менделеева-Клапейрона так, чтобы выразить концентрацию молекул.
Диаметр молекулы примем ребром куба. Тогда объём одной молекулы c одной стороны равен кубу диаметра, с другой стороны может быть рассчитан как отношение объёма газа к количеству молекул. Запишем это и выразим диаметр
Осталось только подставить формулу концентрации в формулу диаметра и решить задачу
