Как рассчитать среднюю квадратичную скорость молекул газа по законам МКТ?
Основы молекулярно-кинетической теории: Статистические закономерности МКТ. Расчёт средней квадратичной скорости молекул
Научитесь вычислять среднюю квадратичную скорость молекул газа, используя статистические закономерности молекулярно-кинетической теории. В статье подробно объясняется формула для расчета, приводятся необходимые физические константы (например, постоянная Больцмана) и разбирается типовая задача с пошаговым решением. Этот материал поможет вам глубже понять динамику движения молекул и успешно справиться с заданиями на уроках физики или при подготовке к ЕГЭ
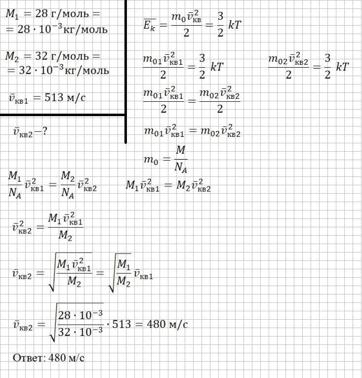
В одинаковых герметичных ёмкостях-термостатах с газами 1 и 2 проводят исследование с целью поиска значения средней квадратичной скорости молекул второго газа. Какой получился результат исследования, если известны следующие физические параметры газов — M₁=28 г/моль, M₂=32 г/моль, средняя квадратичная скорость первого газа 513 м/с?
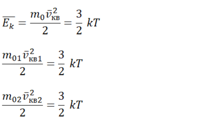
По условию ёмкости-термостаты одинаковы, значит температура одинакова в них. Запишем связь температуры газа со средней кинетической энергией поступательного теплового движения его частиц для каждого газа
Так как равны правые части формул, приравняем левые
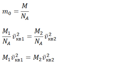
Массу одной молекулы можно найти, разделив молярную массу на число Авогадро. Воспользуемся этим и преобразуем формулу выше
Остается только выразить среднюю квадратичную скорость второго газа и решить задачу
