Как рассчитать температуру газа по статистическим закономерностям молекулярно-кинетической теории?
Основы молекулярно-кинетической теории: Статистические закономерности МКТ. Задание на расчёт температуры газа
Изучите методы расчета температуры газа, основываясь на статистических закономерностях молекулярно-кинетической теории. В статье подробно объясняется связь между температурой, средней кинетической энергией молекул и другими физическими параметрами. Приводятся необходимые формулы (включая формулу Больцмана) и разбирается задача с пошаговым решением. Материал поможет глубже понять основы термодинамики и успешно справиться с заданиями на уроках физики или при подготовке к ЕГЭ
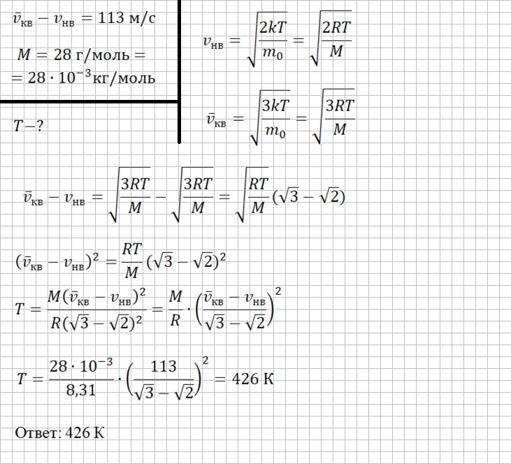
Определи температуру разрежённого газа (28 г/моль) в закрытом резервуаре, учитывая, что средняя квадратичная скорость его молекул отличается от их наиболее вероятной скорости на 113 м/с.
Так как нам известна разница между средней квадратичной и наиболее вероятной скоростями, запишем это в виде формул
Возведём в квадрат обе части формулы и выразим температуру
Подставим числа и решим задачу
