Расчет давления газа по статистическим закономерностям молекулярно-кинетической теории
Основы молекулярно-кинетической теории: Статистические закономерности МКТ. Задание на расчёт давления газа
Научитесь вычислять давление газа, используя статистические закономерности молекулярно-кинетической теории и формулы для описания движения молекул. В статье подробно объясняются физические принципы, приводятся необходимые уравнения (включая формулу давления через импульс молекул) и разбирается задача с пошаговым решением. Этот материал станет отличным инструментом для изучения МКТ, подготовки к ЕГЭ и решения практических задач по физике
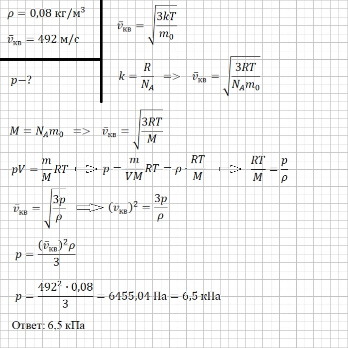
Газ, средняя квадратичная скорость которого 492 м/с, находится в ёмкости под поршнем. Рассчитай давление, создаваемое газом внутри ёмкости, учитывая значение его плотности 0,08 кг/м³.
Так как нам известна средняя квадратичная скорость газа, запишем и преобразуем её формулу
Запишем и преобразуем уравнение Менделеева-Клапейрона, а затем подставим в формулу квадратичной скорости
Остается выразить давление и рассчитать его
