Расчет давления газа по молекулярно-кинетической теории: формулы и примеры решений
Основы МКТ: Физическое описание систем с большим числом частиц. Задание на расчёт давления
Изучите, как рассчитать давление газа с помощью законов молекулярно-кинетической теории. В статье подробно объясняются физические законы, лежащие в основе процесса, приводятся необходимые формулы (включая уравнение состояния идеального газа) и разбирается типовая задача с пошаговым решением. Материал станет отличным помощником для подготовки к урокам физики, ЕГЭ или другим экзаменам
Находящийся в герметичном баллоне четырёхатомный газ при увеличении температуры в 2 раза полностью диссоциирует на атомы. Определи давление газа в диссоциированном состоянии, если в начальный момент этого процесса его давление равнялось 0,7 МПа.
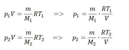
При диссоциации молярная масса газа уменьшается в n раз, где n — количество атомов в молекулах газа. Значит, неизменными останутся масса и объем, остальные параметры изменятся. Запишем уравнение Менделеева — Клапейрона для каждого состояния газа. Выразим давление для каждого состояния
Преобразуем формулу, найдя отношение давления второго газа к первому, а затем выразим искомое давление
Подставим числовые данные задачи и решим её
Так как ответ надо дать также в мегапаскалях, то можно не переводить в СИ.
