Как рассчитать давление газа по молекулярно-кинетической теории? Практические примеры решения
Основы МКТ: Физическое описание систем с большим числом частиц. Задание на расчёт давления
Узнайте, как определить давление газа с помощью формул молекулярно-кинетической теории. В статье подробно объясняются физические принципы, лежащие в основе расчетов, приводятся необходимые уравнения и разбирается типовая задача с детальным решением. Этот материал станет полезным для изучения термодинамики, подготовки к экзаменам (включая ЕГЭ) и выполнения домашних заданий по физике
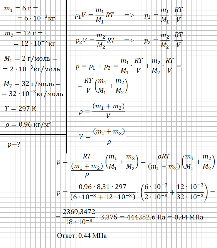
Определи давление смеси двух разрежённых газов 1 и 2 в закрытой ёмкости при температуре 297 К, учитывая их физические характеристики: массы — m₁=6 г и m₂=12 г, молярные массы — M₁=2 г/моль и M₂=32 г/моль, плотность смеси — 0,96 кг/м³.
Для начала запишем уравнение Менделеева — Клапейрона для каждого газа. Выразим давление в каждом случае и сложим по закону Дальтона
Теперь необходимо вспомнить формулу плотности (если вы её забыли, подсказка в единицах измерения). Запишем её для смеси газов и выразим объём
Остается только подставить формулу объёма в формулу давления и решить задачу
