Как рассчитать отношение абсолютных температур по второму закону термодинамики?
Основы термодинамики: Второй закон термодинамики. Задание на расчёт отношения абсолютных температур
Научитесь определять отношение абсолютных температур в процессах, описываемых вторым законом термодинамики, таких как работа теплового двигателя или цикл Карно. В статье объясняется связь между температурами нагревателя и холодильника () и эффективностью термических процессов. Приводятся необходимые формулы для расчета отношения температур, а также разбирается задача с подробным решением. Этот материал поможет вам глубже понять основы второго закона термодинамики и успешно справиться с физическими задачами
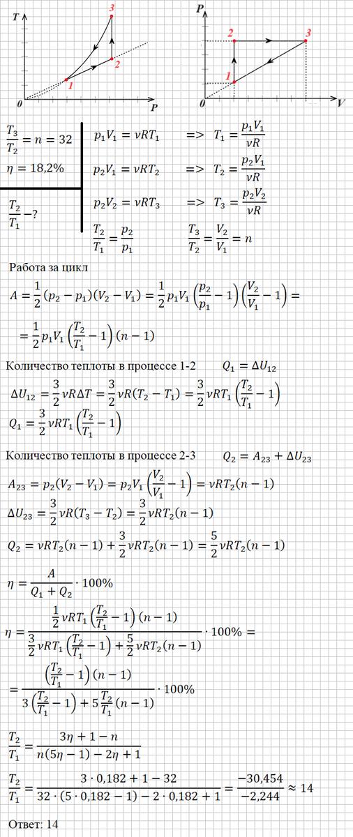
Рассчитай отношение абсолютных температур T₂/T₁, считая рабочее тело тепловой машины одноатомным разрежённым газом и учитывая значение термического КПД цикла 18,2 % и соотношение T₃/T₂=32.
Запишем параметры газа для каждого состояния:
- термодинамическое состояние 1: p₁, V₁, T₁;
- термодинамическое состояние 2: p₂, V₁, T₂;
- термодинамическое состояние 3: p₂, V₂, T₃.
Таким образом, процесс 1-2 изохорный (не изменяется объём), процесс 2-3 изобарный (не изменяется давление). Изобразим цикл в р-, V-координатах
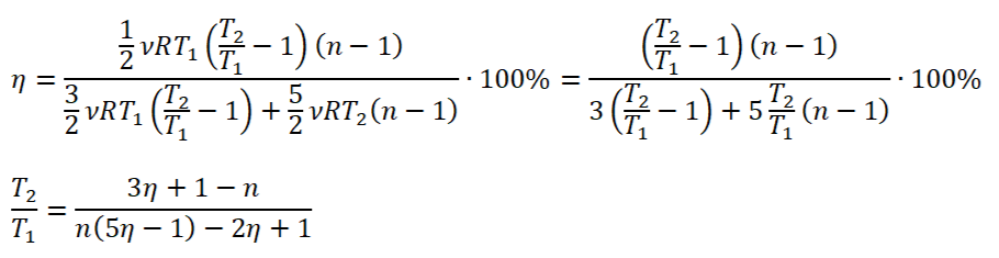
Теперь мы видим, что физическая ситуация похожа на данную задачу. Запишем уравнение Менделеева-Клапейрона для всех термодинамических состояний и выразим соотношения Т₂/Т₁ и Т₃/Т₂.
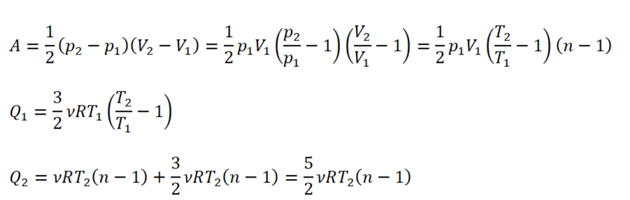
Тогда формулы работы газа за цикл и количества теплоты будут выглядеть следующим образом:
Подставим эти формулы в формулу КПД и выразим искомое отношение
Остается решить задачу, подставив числа
В зависимости от того, как упрощать могут получаться отрицательные и положительные числа, но в итоге число обязательно больше нуля.
