Как рассчитать отношение количества теплоты к работе по второму закону термодинамики?
Основы термодинамики: Второй закон термодинамики. Задание на расчёт отношения количества теплоты к работе
Узнайте, как определить отношение количества переданного тепла к совершаемой работе в системах, описываемых вторым законом термодинамики. В статье объясняется связь между эффективностью процесса, температурами нагревателя и холодильника, а также приводятся необходимые формулы ( или ). Разбирается задача с подробным решением, что поможет вам успешно освоить основы второго закона термодинамики и справиться с физическими задачами на уроках или при подготовке к экзаменам
Задача
Найди отношение тепловой энергии, передаваемой от холодильника к нагревателю холодильной машины, к работе внешних сил, если машина работает по циклу Карно (η=45 %).
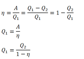
При обратном цикле Карно количество теплоты от холодильника Q₂ «передаётся» нагревателю Q₁ за счёт работы внешних сил: A′=−A (A — работа газа), значит Q₁<0, Q₂>0 и A<0, учитывая эти знаки запишем термический КПД и выразим Q₁ двумя вариантами
Приравняем формулы и выразим искомое отношение
Остается подставить известный КПД и решить задачу
