Как рассчитать абсолютную температуру по второму закону термодинамики?
Основы термодинамики: Второй закон термодинамики. Задание на расчёт абсолютной температуры
Научитесь определять абсолютную температуру в процессах, описываемых вторым законом термодинамики, например, в циклах тепловых машин или холодильных установках. В статье объясняется связь между передаваемой теплотой, работой и температурами (), а также приводятся необходимые формулы для расчета. Разбирается задача с подробным решением, что поможет вам успешно освоить основы второго закона термодинамики и справиться с физическими задачами на уроках или при подготовке к экзаменам
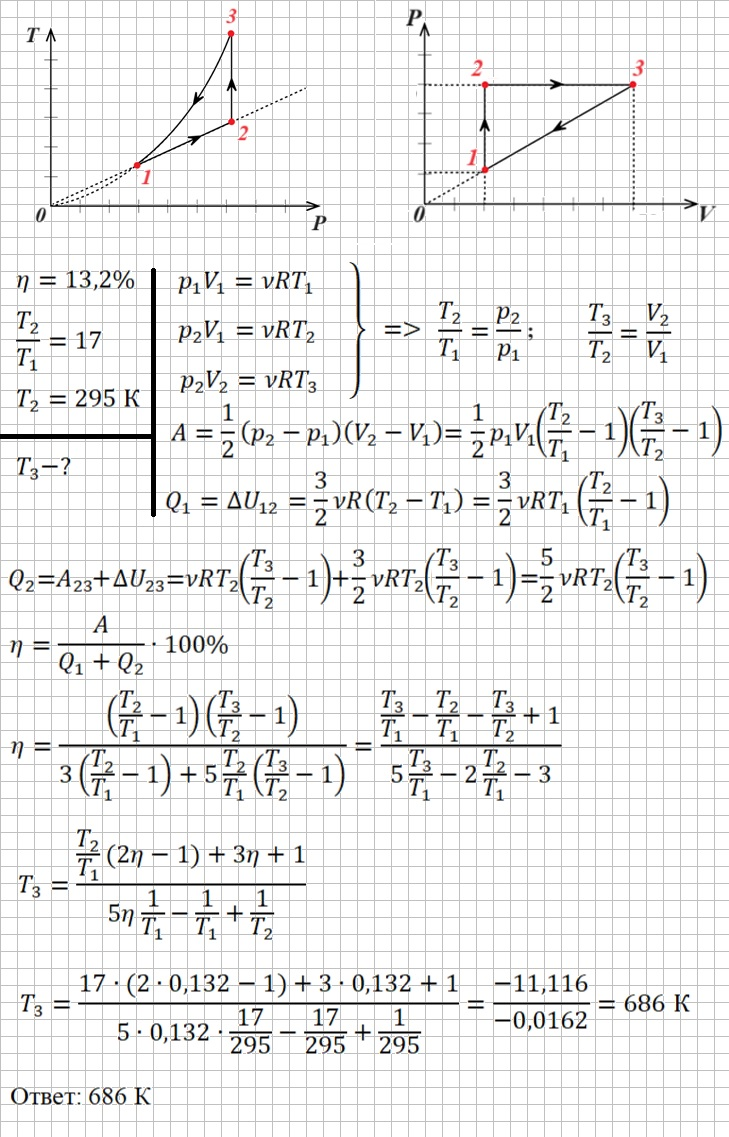
Найди абсолютную температуру T₃ одноатомного идеального газа, учитывая значения термического КПД цикла 13,2 %, абсолютной температуры T₂=295 К и соотношение T₂/T₁=17.
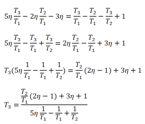
Похожая задача уже решалась, поэтому сразу запишем преобразованную формулу КПД и раскроем скобки
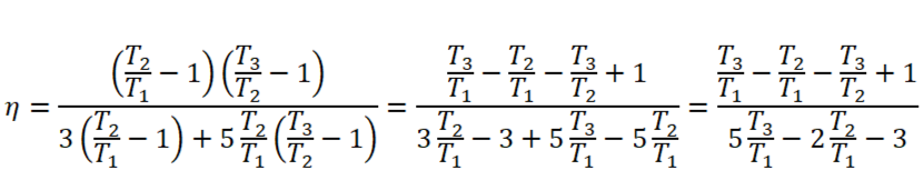
Проведем ряд преобразований, чтобы выразить T₃
Температура T₁ не дана явно, но её можно выразить из отношения T₂/T₁, а значит, можно подставить числа и решить задачу
В этой статье постаралась записать решение как можно более кратко.
