Как рассчитать термический КПД теплового процесса по второму закону термодинамики? (1)
Основы термодинамики: Второй закон термодинамики. Задание на расчёт термического КПД теплового процесса (1)
Научитесь определять термический коэффициент полезного действия (КПД) теплового процесса, используя второй закон термодинамики. В статье объясняется связь между подведенной теплотой, отведённой теплотой и совершаемой работой (). Приводятся необходимые формулы для расчета КПД различных циклов, включая идеальный цикл Карно, а также разбирается задача с подробным решением. Этот материал поможет вам успешно освоить основы второго закона термодинамики и справиться с физическими задачами
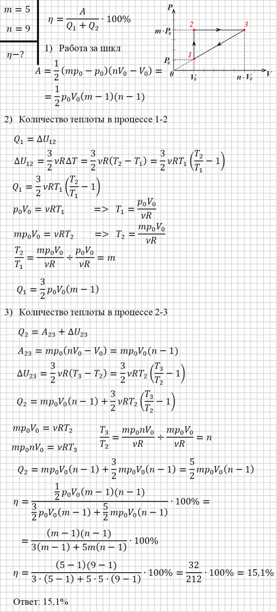
Рассчитай термический КПД замкнутого теплового процесса, считая рабочее тело одноатомным идеальным газом и учитывая значения m=5 и n=9.
Искомый КПД найдем по формуле
Теперь последовательно найдем все составляющие.
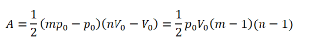
Работа газа за цикл равна площади треугольника 123, запишем и преобразуем формулу
Запишем параметры газа для каждого состояния:
- термодинамическое состояние 1: p₀, V₀, T₁;
- термодинамическое состояние 2: mp₀, V₀, T₂;
- термодинамическое состояние 3: mp₀, nV₀, T₃.
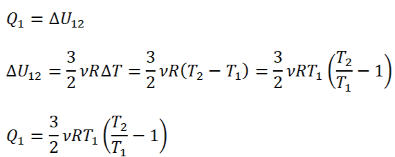
Таким образом, процесс 1-2 изохорный (не изменяется объём), процесс 2-3 изобарный (не изменяется давление). Запишем первый закон термодинамики для изохорного процесса и подставим в него формулу изменения внутренней энергии одноатомного идеального газа
Запишем уравнение Менделеева-Клапейрона для термодинамических состояний 1 и 2 и выразим отношение Т₂/Т₁
Преобразуем формулу количества теплоты в процессе 1-2, подставив соотношения из формул выше
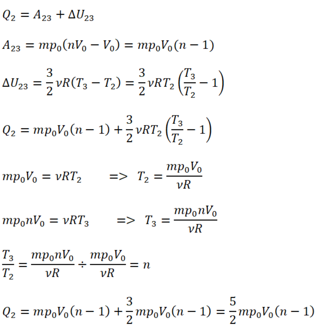
Запишем первый закон термодинамики для изобарного процесса. Работа в процессе 2-3 рассчитывается как площадь под графиком процесса. Проведем преобразования аналогично процессу 1-2
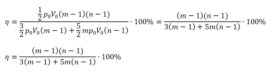
Остаётся только подставить все величины в формулу КПД и упростить её
Подставим числа и посчитаем
Чем меньше данных, тем объёмнее решение)
