Как рассчитать температуру холодильника по второму закону термодинамики?
Основы термодинамики: Второй закон термодинамики. Задание на расчёт температуры холодильника
Научитесь определять температуру холодильника в системах, описываемых вторым законом термодинамики, например, в тепловых двигателях или рефрижераторных установках. В статье объясняется связь между температурами нагревателя и холодильника, а также эффективностью цикла (). Приводятся необходимые формулы для расчета температуры холодильника и разбирается задача с подробным решением. Этот материал поможет вам глубже понять основы второго закона термодинамики и успешно справиться с физическими задачами
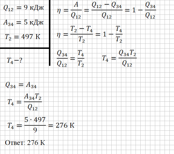
Задача
Рассчитай температуру холодильника устройства, работающего по замкнутому процессу, учитывая значения физических характеристик: получаемое количество теплоты — 9 кДж, работа внешних сил при изотермическом сжатии — 5 кДж, Т₂=497 К.
Подобно задаче на расчёт температуры нагревателя, запишем формулу КПД для тепловой машины и КПД цикла Карно, учитывая что Т₂ — температура нагревателя, Т₄ — температура холодильника. Затем приравняем их правые части и выразим Т₄, учитывая первый закон термодинамики для изотермического процесса. Так как более подробно такие задачи уже решались, ниже приведу только само решение
