Как рассчитать температуру нагревателя по второму закону термодинамики?
Основы термодинамики: Второй закон термодинамики. Задание на расчёт температуры нагревателя
Научитесь определять температуру нагревателя в системах, описываемых вторым законом термодинамики, например, в тепловых двигателях или холодильных машинах. В статье объясняется связь между температурами нагревателя и холодильника, эффективностью цикла () и передаваемой теплотой. Приводятся необходимые формулы и разбирается задача с подробным решением. Этот материал поможет вам успешно освоить основы второго закона термодинамики и справиться с физическими задачами
Определи температуру нагревателя устройства, работающего по циклy 1–2–3–4–1, учитывая значения физических характеристик: модуль количества теплоты в процессе 1–2 равен 9 кДж, модуль работы в процессе 3–4 равен 4 кДж, T₄=292 К.
В задаче рассматривается тепловая машина с идеальным газом в качестве рабочего тела, которая работает по циклу Карно. Подробнее процессы описаны в предыдущей задаче
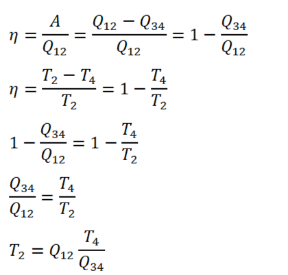
Запишем формулу КПД для тепловой машины и КПД цикла Карно, учитывая что Т₂ — температура нагревателя, Т₄ — температура холодильника. Затем приравняем их правые части и выразим Т₂
Согласно первому закону термодинамики для изотермического процесса, количество теплоты равно совершённой работе. Запишем это для процесса 3-4 и подставим в формулу выше
Остается только решить задачу в числах
