Как рассчитать работу газа по второму закону термодинамики? (1)
Основы термодинамики: Второй закон термодинамики. Задание на расчёт работы газа (1)
Научитесь определять работу, совершаемую газом в процессах, описываемых вторым законом термодинамики, таких как циклы Карно или работа теплового двигателя. В статье объясняется связь между передаваемой теплотой, изменением энтропии и эффективностью системы (). Приводятся необходимые формулы для расчета работы газа в различных термодинамических процессах, а также разбирается задача с подробным решением. Этот материал поможет вам глубже понять основы второго закона термодинамики и успешно справиться с физическими задачами
Найди совершаемую одноатомным разрежённым газом работу за цикл, учитывая физические параметры: ν=2 моль, p₂/p₁=8, T₁=299 К, T₄=384 К.
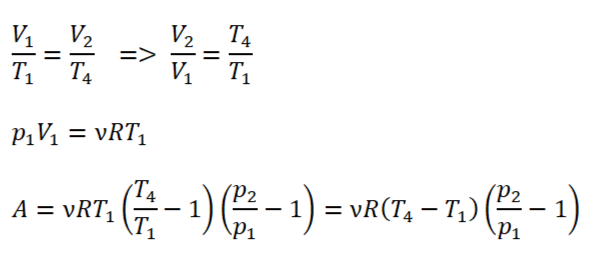
Работа газа за цикл равна площади прямоугольника 1234, запишем и преобразуем формулу
Запишем параметры газа для каждого состояния:
- термодинамическое состояние 1: p₁, V₁, T₁;
- термодинамическое состояние 2: p₂, V₁, T₂;
- термодинамическое состояние 3: p₂, V₂, T₃;
- термодинамическое состояние 4: p₁, V₂, T₄.
Таким образом, процессы 1-2 и 3-4 изохорные (не изменяется объём), процессы 2-3 и 4-1 изобарные (не изменяется давление). Запишем уравнение для изобарного процесса 4-1 и выразим V₂/V₁. Затем запишем уравнение Менделеева-Клапейрона для термодинамического состояния 1 и подставим в формулу работы
Подставим числа и запишем решение
