Как рассчитать количество теплоты по второму закону термодинамики?
Основы термодинамики: Второй закон термодинамики. Задание на расчёт количества теплоты
Узнайте, как определить количество теплоты, передаваемое в процессе термодинамического цикла или при работе теплового двигателя, используя второй закон термодинамики. В статье объясняется концепция эффективности, энтропии и невозможности полного преобразования теплоты в работу. Приводятся необходимые формулы для расчета () и разбирается задача с подробным решением. Этот материал поможет вам глубже понять основы второго закона термодинамики и успешно справиться с физическими задачами
Найди модуль значения количества теплоты на участке 3–4 цикла, учитывая значения физических характеристик: совершаемая газом работа в термодинамическом процессе 1–2 равна 3 кДж, T₂=490 К, T₄=290 К.
В задаче рассматривается тепловая машина с идеальным газом в качестве рабочего тела, которая работает по циклу Карно. Вспомним процессы этого цикла:
- процесс 1–2: изотермическое расширение газа (работа — положительная величина, A₁₂>0), газ получает количество теплоты Q₁₂;
- процесс 2–3: адиабатное расширение газа, Q=0;
- процесс 3–4: изотермическое сжатие газа (работа — отрицательная величина, A₃₄<0), газ отдаёт количество теплоты Q₃₄;
- процесс 4–1: адиабатное сжатие газа, Q=0.
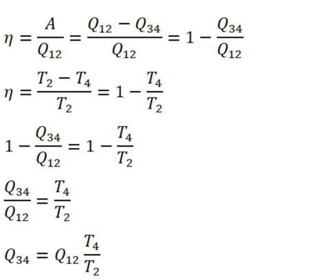
Запишем формулу КПД для тепловой машины и КПД цикла Карно, учитывая что Т₂ — температура нагревателя, Т₄ — температура холодильника. Затем приравняем их правые части и выразим Q₃₄
Согласно первому закону термодинамики для изотермического процесса, количество теплоты равно равно совершённой работе. Запишем это для процесса 1-2 и подставим в формулу выше
Теперь подставим числа и решим задачу
