Как рассчитать относительную влажность воздуха: формулы и примеры решения
Основы термодинамики: Агрегатные состояния вещества. Фазовые переходы. Задание на расчёт относительной влажности воздуха
Научитесь определять относительную влажность воздуха, используя законы термодинамики и свойства фазовых переходов. В статье объясняется, как связана относительная влажность с температурой, давлением водяного пара и насыщающей паровой влажностью (). Приводятся необходимые формулы для расчета и разбирается задача с подробным решением. Этот материал поможет вам успешно освоить тему агрегатных состояний вещества и справиться с физическими задачами
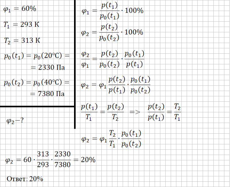
Найди значение относительной влажности воздуха, находящегося в закрытом сосуде, когда его изохорно нагрели от 20 °С до 40 °C, учитывая значения давления насыщенного пара (таблица) и относительной влажности 60 % в первоначальной ситуации и значение давления насыщенного пара в конечной ситуации (7,38 кПа).
Запишем формулу относительной влажности воздуха для каждой ситуации, поделим левые и правые части друг на друга и выразим φ₂
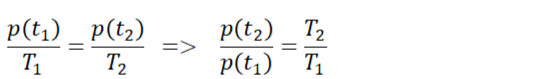
Запишем и преобразуем закон Шарля (уравнение изохорного процесса для ненасыщенного пара)
Подставим данное следствие в формулу φ₂, а затем решим задачу. Недостающие данные возьмём из таблицы зависимости давления и плотности насыщенного водяного пара от температуры.
