Как рассчитать длину спектра при дифракции света: пошаговое решение задачи по волновой оптике
Оптика: Волновая оптика. Дифракция, дисперсия и поляризация света. Задание на расчёт длины спектра
В статье рассматривается задача на определение длины спектра, возникающего при прохождении света через дифракционную решётку. Мы объясним, как формируется дифракционный спектр, и покажем, как использовать длину волны света, период решётки и геометрические параметры для расчёта длины спектра на экране. Пошаговое решение с формулами и комментариями поможет вам разобраться в этой важной теме волновой оптики. Материал будет полезен школьникам, студентам и всем, кто изучает физику или готовится к экзаменам.
Найди длину спектра 2-го порядка на экране, учитывая следующие физические характеристики его получения: на дифракционную решётку, имеющую 100 штрихов на 1 мм и находящуюся перед собирающей линзой, падает перпендикулярно её плоскости белый свет (диапазон видимого излучения составляет от 381 до 747 нм); расстояние между линзой и экраном составляет 1,7 м.
В задаче говорится о дифракции белого света на дифракционной решётке, где спектр m-го порядка будет радужной окраски (фиолетовая часть будет в направлении к центральному максимуму, который останется белым);
Изобразим длину спектра Δx между дифракционными максимумами с порядковым номером m=1.
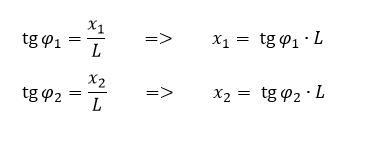
Согласно данному рисунку найдем тангенсы углов 𝜑₁ и 𝜑₂ и выразим х₁ и х₂
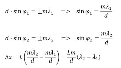
При малых углах тангенс приблизительно равен синусу, используем это свойство и найдем Δх
Запишем условие главных дифракционных максимумов для разных длин волн (знак «±» означает симметричное расположение главных дифракционных максимумов, поэтому далее будем использовать только знак «+») и выразим из него синус, а затем преобразуем формулу для Δх
Осталось только вместо периода решетки записать его формулу и задача решена
