Как рассчитать абсолютный показатель преломления мыльного слоя: пошаговое решение задачи по волновой оптике
Оптика: Волновая оптика. Интерференция света. Расчёт абсолютного показателя преломления мыльного слоя
В статье рассматривается задача на определение абсолютного показателя преломления мыльного слоя с использованием явления интерференции света. Мы объясним, как тонкие плёнки, такие как мыльный слой, создают интерференционные картины, и покажем, как связать длину волны света, толщину плёнки и угол падения с показателем преломления. Пошаговое решение с формулами и комментариями поможет вам разобраться в этой важной теме волновой оптики. Материал будет полезен школьникам, студентам и всем, кто изучает физику или готовится к экзаменам.
Человек смотрит с близкого расстояния на воображаемые точки цветной поверхности мыльной лужи, которая кажется ему окрашенной в зелёный цвет (λ=555 нм). Рассчитай абсолютный показатель преломления мыльного слоя, учитывая его наименьшую толщину (d=0,12 мкм).
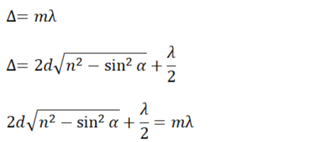
Рассматривается интерференция света в тонких плёнках, наблюдаемая в отражённых лучах. Запишем условие интерференционного максимума и формулу оптической разности хода для интерференции в тонких плёнках для отражённого света, а затем приравняем правые части формул
Наименьшая толщина плёнки может наблюдаться если угол падения луча на плёнку равен нулю (α=0°) и значение порядка интерференционного максимума равно 1 (m=1). Перепишем формулу с учетом этих условий и выразим абсолютный показатель преломления
Записываем решение и ответ
