Как рассчитать расстояние между источником света и рассеивающей линзой: пошаговое решение задачи по геометрической оптике
Оптика: Законы геометрической оптики. Расчёт расстояния между источником света и рассеивающей линзой
В статье разбирается задача на определение расстояния между источником света и рассеивающей линзой с использованием основных законов геометрической оптики. Мы объясним, как работает рассеивающая линза, какие особенности её фокусного расстояния и как применять формулу тонкой линзы для расчёта положения изображения. Пошаговое решение с формулами и комментариями поможет вам легко усвоить эту важную тему. Материал будет полезен школьникам, студентам и всем, кто изучает физику или готовится к экзаменам.
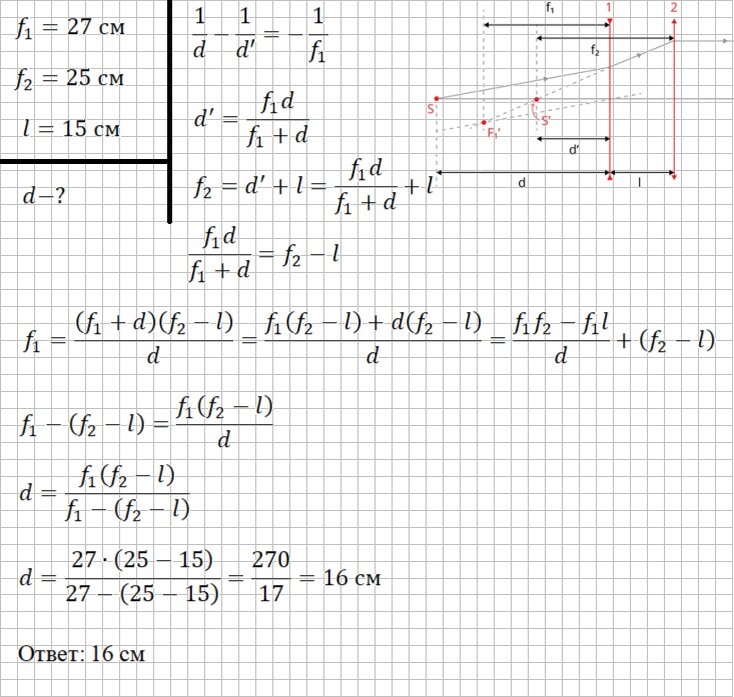
На одной оси последовательно расположены тонкие линзы 1 и 2 на расстоянии l=15 см друг от друга. Первая, рассеивающая, линза имеет фокусное расстояние f₁=27 см, а вторая, собирающая, линза имеет фокусное расстояние f₂=25 см. Определи, на каком расстоянии d перед первой линзой нужно поставить источник, чтобы после прохождения лучом системы линз свет распространялся далее параллельным пучком.
Изобразим физическую ситуацию, описанную в задаче
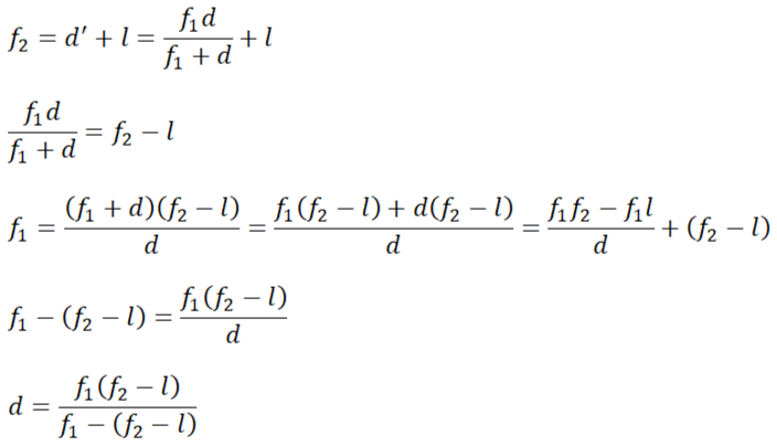
Для того, чтобы после прохождения системы линз свет выходил параллельным пучком, необходимо, чтобы изображение источника S′, полученное в первой — рассеивающей линзе, лежало в фокусе второй — собирающей линзы. Найдем расстояние от первой линзы до необходимого места расположения
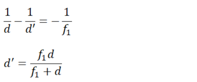
Запишем выражение для f₂ с учётом соотношений между расстояниями d′ и l, а затем выразим d из формулы
Осталось подставить числовые значения и найти ответ
