Как рассчитать амплитуду силы тока в колебательном контуре: подробное решение задачи по физике (2)
Электромагнитные колебания и волны. Задание на расчёт амплитуды силы тока (2)
В статье разбирается задача на определение амплитуды силы тока в колебательном контуре, где происходят гармонические электромагнитные колебания. Мы объясним, как энергия перераспределяется между катушкой индуктивности и конденсатором, и покажем, как использовать законы сохранения энергии и формулы для колебательного контура. Пошаговое решение с формулами и комментариями поможет вам легко усвоить эту важную тему. Материал будет полезен школьникам, студентам и всем, кто изучает физику или готовится к экзаменам.
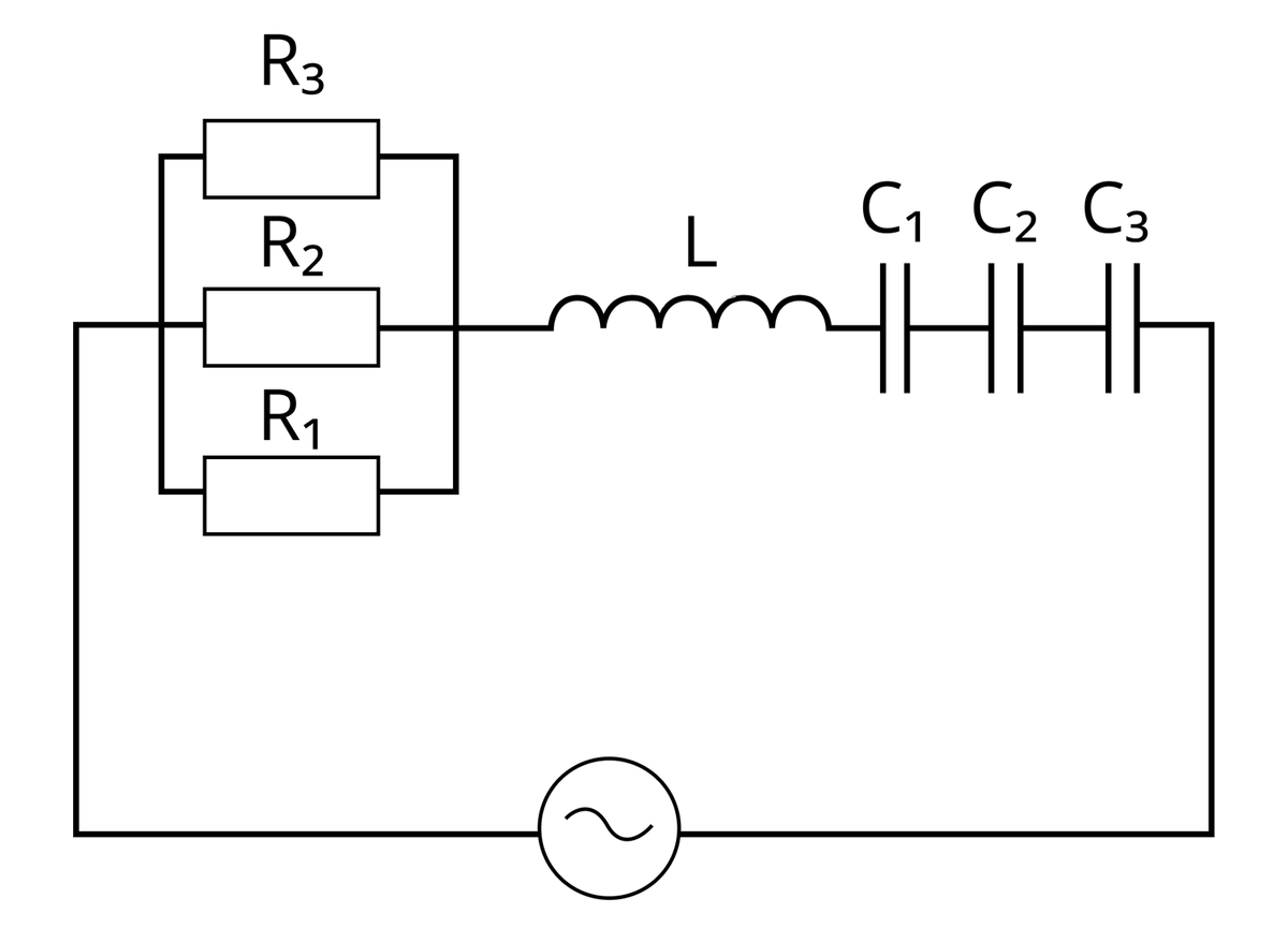
Найди амплитудное значение силы тока на катушке, учитывая следующие характеристики электрической цепи, изображенной на рисунке: амплитудное значение напряжения переменного тока (ν=50Гц) составляет U=20В; значения сопротивлений резисторов R₁=12 Ом, R₂=22 Ом, R₃=35 Ом; ёмкости конденсаторов равны C₁=C, C₂=2C, C₃=3C, где C=6 мкФ; индуктивность катушки L=20мГн.
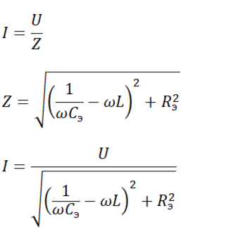
Запишем формулу амплитудного значения тока в цепи переменного тока и подставим в неё полное сопротивление Z
Последовательно соединенные конденсаторы могут быть заменены эквивалентным конденсатором, параллельно соединенные резисторы могут быть заменены эквивалентным резистором
Запишем формулу циклической частоты электрических колебаний в контуре и подставим всё в формулу амплитудного значения силы тока
Теперь самое важное — не запутаться в расчётах и найти правильный ответ
Советую расчеты писать также подробно, чтобы исключить возможные ошибки.
