Как рассчитать абсолютный показатель преломления: пошаговое решение задачи по волновой оптике
Оптика: Волновая оптика. Интерференция света. Задание на расчёт абсолютного показателя преломления
В статье рассматривается задача на расчёт абсолютного показателя преломления среды с использованием явлений интерференции света. Мы объясним, что такое абсолютный показатель преломления, как он связан с длиной волны света и скоростью его распространения в среде, а также покажем, как использовать формулы для его определения. Пошаговое решение с формулами и комментариями поможет вам разобраться в этой важной теме волновой оптики. Материал будет полезен школьникам, студентам и всем, кто изучает физику или готовится к экзаменам.
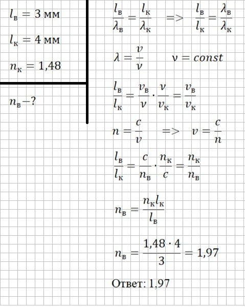
На длине отрезка 4 мм в кварцевой пластине (n=1,48) вмещается столько же длин монохроматических волн, как и на длине отрезка 3 мм в неизвестном веществе. Определи показатель преломления неизвестного вещества.
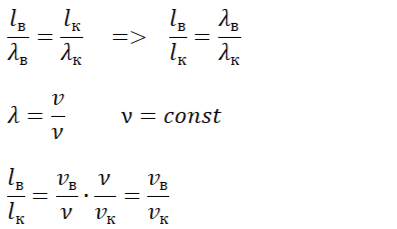
В задаче рассматриваются монохроматические волны, значит волны с постоянной частотой. Условие, описанное в задаче можно представить как постоянство (равенство) отношения длины отрезка к длине волны. Запишем это и подставим формулу длины волны.
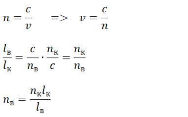
Получили, что отношение длин отрезков равно отношению скоростей, но так как они неизвестны, выразим скорость из формулы абсолютного показателя преломления, а затем и искомый показатель преломления
Запишем решение и ответ
