Как рассчитать расстояние между минимумами дифракционной картины: пошаговое решение задачи по волновой оптике
Оптика: Волновая оптика. Дифракция, дисперсия и поляризация света. Задание на расчёт расстояния между минимумами
В статье разбирается задача на определение расстояния между минимумами дифракционной картины, возникающей при прохождении света через щель или дифракционную решётку. Мы объясним, как формируются дифракционные минимумы, и покажем, как использовать основные формулы для расчёта их положения. Пошаговое решение с формулами и комментариями поможет вам легко усвоить эту важную тему волновой оптики. Материал будет полезен школьникам, студентам и всем, кто изучает физику или готовится к экзаменам.
Рассчитай расстояние между наблюдающимися на экране минимумами с порядковым номером 3, которые симметричны относительно центрального максимума, учитывая следующие физические характеристики: видимый свет (λ=548 нм) падает перпендикулярно плоскости щели, ширина которой составляет b=0,6 мм; экран параллелен щели и отстоит от неё на расстоянии l=1,4 м.
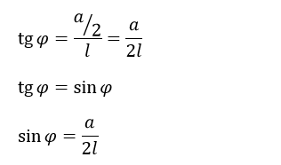
Изобразим расстояние a между дифракционными минимумами с порядковым номером m=1.
При малых значениях угла тангенс равен синусу. Запишем тангенс для угла 𝜑 и учтем это равенство.
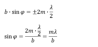
Запишем условие дифракционных минимумов для щели, где знак «±» означает симметричное расположение главных дифракционных максимумов, поэтому далее будем использовать только знак «+». Выразим синус из формулы
Так как равны левые части, приравняем правые и выразим искомую величину а
Подставим числа и решим задачу
