Как рассчитать количество длин волн в заданном участке: пошаговое решение задачи по волновой оптике
Оптика: Волновая оптика. Дифракция, дисперсия и поляризация света. Задание на расчёт количества длин волн
В статье рассматривается задача на определение количества длин волн света, укладывающихся в заданном участке пространства, с учётом явления дифракции или дисперсии. Мы объясним, как длина волны связана с частотой и скоростью света, а также покажем, как использовать эти параметры для расчёта числа длин волн. Пошаговое решение с формулами и комментариями поможет вам разобраться в этой важной теме волновой оптики. Материал будет полезен школьникам, студентам и всем, кто изучает физику или готовится к экзаменам.
Найди количество длин волн, умещающихся на ширине щели, учитывая перпендикулярное её плоскости падение монохроматического света и угловое значение направления на 6-ю тёмную полосу — 7°.
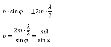
Запишем условие дифракционных минимумов для щели, где знак «±» означает симметричное расположение главных дифракционных максимумов, поэтому далее будем использовать только знак «+». Выразим b из формулы
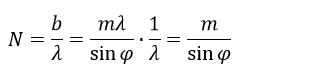
Теперь запишем формулу количества длин волн, подставим ранее выраженную величину и преобразуем
Так как и порядок и угловое значение нам известны — запишем решение и ответ
В задаче речь идет о количестве, поэтому также как и в предыдущей задаче, отбрасываем в ответе все знаки после запятой
