Как рассчитать механическую работу в физике? Практические примеры решения задач (3)
Законы сохранения в механике: Механическая работа. Задание на расчёт механической работы (3)
Узнайте, как определить механическую работу силы при перемещении тела. В статье объясняется связь между работой, силой и перемещением, приводятся необходимые формулы (включая ) и разбирается задача с подробным решением. Этот материал поможет вам успешно освоить тему механической работы и подготовиться к экзаменам или урокам физики
Определи совершённую работу силы за промежуток времени 2t₁ при горизонтальном перемещении материальной точки (7 кг) вдоль линии действия силы, учитывая представленную на рисунке зависимость vₓ(t) и значения физических величин v₁=6 м/с и t₁=4 с.
Запишем формулу механической работы, угол между направлениями векторов силы и перемещения в данной задаче равен нулю, значит косинус равен одному. Вместо силы запишем следствие из второго закона Ньютона в скалярной форме.
Совершенную работу за промежуток времени 2t₁ можно представить в виде суммы совершенных работ в промежутке времени от нуля до t₁ и в промежутке времени от t₁ до 2t₁. При чём во втором промежутке ускорения не было, значит работа в нем равна нулю.
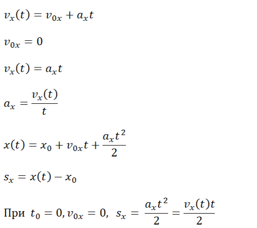
Чтобы найти работу за промежуток времени от нуля до t₁, необходимо вспомнить кинематику, а именно, уравнения зависимости проекции скорости от времени и зависимости координаты от времени при равнопеременном движении. Тогда, сравнивая с графиком в условии задачи, получим начальную скорость, а значит, запишем формулу перемещения и ускорения
Так как t=t₁, то vₓ(t)=v₁. Подставим формулы ускорения и перемещения в формулу работы, а затем решим задачу
