Как рассчитать коэффициент трения при силовых воздействиях разных направлений?
Динамика: Силы трения. Задание на расчёт коэффициента трения при действии сил разного направления
Научитесь определять коэффициент трения в условиях внешних сил, действующих в разных направлениях. В статье объясняется, как учитывать влияние силы тяжести, нормальной реакции и других внешних факторов на величину силы трения. Приводятся необходимые формулы для расчета коэффициента трения покоя и скольжения, а также разбирается задача с пошаговым решением. Этот материал станет отличным инструментом для изучения динамики трения и подготовки к экзаменам по физике
Груз, имеющий массу 9 кг, дважды перемещают по горизонтальному столу, действуя одинаковой силой 6 Н. В первом тело тянут за нить, расположенную под углом 45° к поверхности стола, а во втором случае — толкают тело с силой, направленной под тем же углом к поверхности вниз. Ускорение в первом случае равно 8 м/с², во втором случае — a. Вычисли значение ускорения груза во втором случае.
Изобразим физическую модель задачи и укажем действующие силы
Запишем следствие из второго закона Ньютона в векторном виде для каждого случая
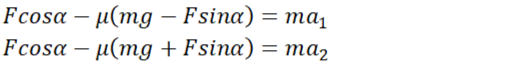
Спроецируем на координатные оси
Выразим силы реакции опоры и подставим в формулы связи между величиной реакции опоры и силой трения для обоих случаев
Подставим в проекции на ось ОХ вместо сил трения получившиеся формулы
Выразим из последней формулы искомое ускорение, а из предпоследней коэффициент трения
Остается подставить числовые данные и не запутаться в расчетах
