Как рассчитать силу по ускорению материальной точки? Применение второго закона Ньютона
Динамика: Законы Ньютона. Задача на расчёт величины действующей силы по ускорению материальной точки
Научитесь определять величину силы, действующей на материальную точку, зная её ускорение, с помощью второго закона Ньютона. В статье подробно объясняется связь между силой, массой и ускорением, приводятся необходимые формулы и разбирается практическая задача с пошаговым решением. Этот материал поможет вам успешно освоить основы динамики, подготовиться к экзаменам по физике или справиться с домашними заданиями
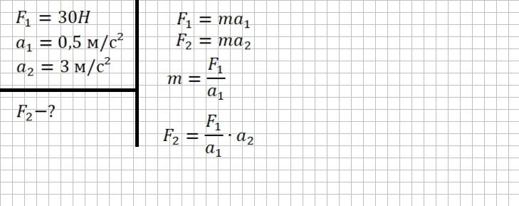
Сила 30 Н придаёт материальной точке ускорение 0,5 м/с² вдоль горизонтальной оси. Какая сила сообщит данному объекту ускорение 3 м/с², если будет действовать в том же направлении?
Так как речь идет об одном и том же теле, то его масса в данной задаче останется неизменной, а значит и сила тяжести и реакции опоры. Силы действуют в одном направлении. Тогда, направив ось вдоль действия сил и используя следствие из второго закона Ньютона, получим:
Теперь выразим массу из первого уравнения и подставим полученное выражение во второе:
Остается только подставить числовые данные из условия и получить ответ
