Как рассчитать атмосферное давление по законам молекулярно-кинетической теории?
Основы МКТ: Физическое описание систем с большим числом частиц. Задание на расчёт атмосферного давления
Научитесь вычислять атмосферное давление, используя принципы молекулярно-кинетической теории и физические законы. В статье объясняются основные формулы, связанные с давлением газов, приводятся практические примеры расчетов, а также разбирается задача на определение атмосферного давления с подробным решением. Этот материал станет полезным для изучения термодинамики, подготовки к ЕГЭ и выполнения домашних заданий по физике
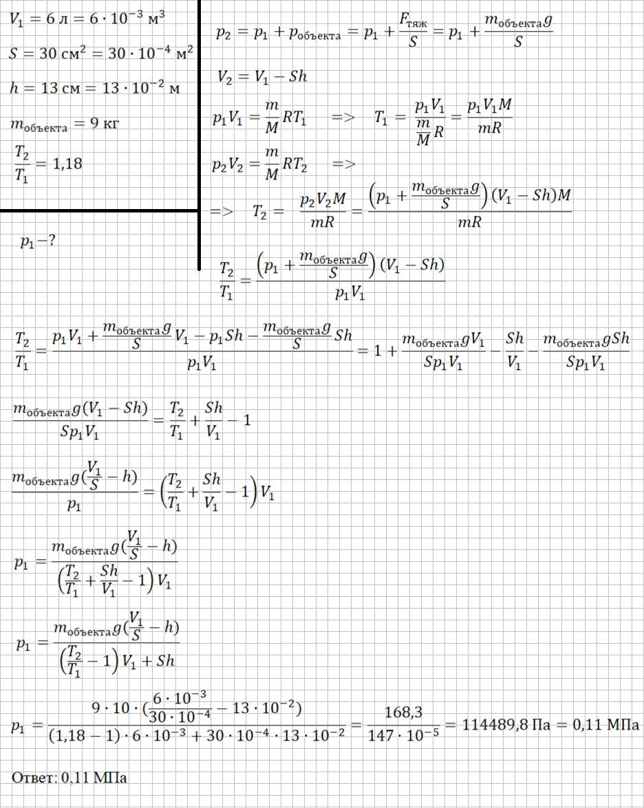
Разрежённый воздух находится в цилиндрическом сосуде (6 л) с поршнем, площадь сечения которого 30 см². Температура разрежённого воздуха увеличилась в 1,18 раза в результате того, что на поршень поместили объект массой 9 кг и поршень сместился на 13 см. Определи атмосферное давление. Массой поршня пренебречь.
Аналогично данной задаче разберём и запишем, какие параметры изменяются при изменении термодинамического состояния:
- температура, известно отношение Т₂ к Т₁;
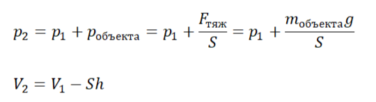
- давление — в новом состоянии добавилось давление, оказываемое положенным на поршень объектом (отношение силы тяжести объекта к площади сечения поршня);
- объём — он уменьшился на величину объёма пространства при смещении поршня (площадь сечения поршня на величину смещения).
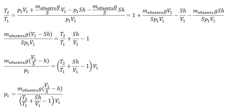
Запишем уравнение Менделеева-Клапейрона для каждого состояния газа, выразим температуру и найдем изменение температуры
Остаётся выразить р₁, что является искомым атмосферным давлением
Подставляем числовые данные и считаем
